
The Moment of Inertia (MI) is a measure of an object’s resistance to rotational motion about a specific axis. The moment of inertia depends on the mass of the object and how that mass is distributed relative to the axis of rotation. A disc is a flat, circular object with uniform mass distribution across its area.
Considering a solid disc of Mass M, Radius R, and negligible thickness. The following are the cases to calculate its moment of inertia:
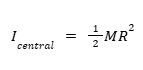
Considering a disc rotating about an axis perpendicular to its plane and passing through its centre (central axis), the small element of mass of the disc is at a distance r from the axis. The general definition of moment of inertia is:
I = ∫ r² dm
where, dm - an infinitesimal mass element at distance r from the axis.
By polar coordinates and integrating the disc, the derivation of the moment of inertia of a solid disc is:

where,
M - mass
R - radius
If the disc rotates about an axis lying in its plane and passing through its centre (like a diameter), the moment of inertia is different. Using calculus or the perpendicular axis theorem, which states:
Icentral axis = Ix + Iy
where, Ix and Iy are the moment of inertia about two perpendicular axes lying in the plane of the disc,

If the axis of rotation is parallel to the central axis but passes through a point that is not the centre of mass, the Parallel Axis Theorem is applied:
I = ICM + Md²
where,
ICM - MI about the central axis through the centre of mass
d - distance between the central axis and the new axis
| Shape | Axis of Rotation | Moment of Inertia |
|---|---|---|
| Solid Disc | Perpendicular to the plane, through CM | ![]() |
| Solid Disc | Along the diameter, in-plane | ![]() |
| Solid Disc | Parallel axis through a point | ICM + Md² |

Q1. Why is the moment of inertia higher about the central axis than along a diameter?
More mass lies farther from the axis in the perpendicular rotation, increasing resistance to rotation. For this reason, the moment of inertia is more about the central axis.
Q2. How is the moment of inertia important in rotational kinetic energy?

Q3. A solid disc of mass M=4 kg and radius R=0.5 m rotates about an axis perpendicular to its plane through its centre. Find its moment of inertia.

JEE Main marks vs rank vs percentile
JEE Advanced Eligibility Criteria
JEE Advanced Chemistry Syllabus
JEE Advanced Registration Dates
Our expert will get in touch with you soon

