Call Now
1800-102-2727If you have been to the beach on a bright sunny day you have observed that land is very hot as compared to water. Have you ever thought that both receive the same amount of energy from the sun at the same time? The answer lies in heat capacity. Different substances will have different changes in temperature while providing the same amount of heat is the property we are going to discuss.
Table of contents
Heat capacity is defined as the amount of heat required to raise the temperature of a mass of substance by 1 °C.
Consider a closed container filled with gas being heated by an external source as shown in the figure. In a certain time t, the amount of heat received by the gas is Q and as a result, the temperature of the gas increases by ΔT.

Then, the heat capacity C is given by,

The unit of heat capacity is JK−1.
Dimensional formula for heat capacity is [ML2T-20-1]
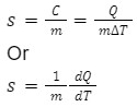
It is the amount of heat required to raise the temperature of a unit mass of substance by 1°C. It is usually assigned with solid and liquid substances and is denoted by s.

It is the heat required to raise the temperature of a unit mass of substance by ΔT. Therefore, Q = msΔT
Units of specific heat capacity is J/kg K and the dimensional formula for specific heat capacity is [M0L2T-20-1].
The amount of heat required to raise the temperature of unit mass gas through 1 °C at a constant volume is defined as the specific heat capacity at constant volume.
The amount of heat required to raise the temperature of unit mass gas through 1 °C at a constant pressure is defined as the specific heat capacity at constant pressure.
The amount of heat required to raise the temperature of one mole of a substance by 1 °C is known as the molar heat capacity.
Molar heat capacity,
![]()
Or
ΔQ = nCsΔT
Units of molar heat capacity is J/mol K and the dimensional formula for specific heat capacity is [M1L2T-20-1].
The amount of heat required to raise the temperature of a unit mole of gas through 1 °C at a constant volume is defined as the molar heat capacity at constant volume.
The amount of heat required to raise the temperature of a unit mole of gas through 1 °C at a constant pressure is defined as the molar heat capacity at constant pressure.
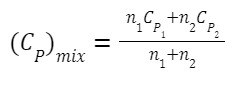
Consider two non-reacting gases 1 and 2 of quantities n1 and n2, respectively, separated by a conducting wall. The molar heat capacities of gases 1 and 2 at constant pressure and constant volume are cp1, cp2and cV1, cV2, respectively. After some time, the wall is removed and the gases are allowed to mix. The molar heat capacity of the mixture of the gases is to be taken into consideration.

Internal energy Umix of the mixture is as follows:
Umix=U1+U2
nmix(CV)mixT=n1CV1T+n2CV2T

Similarly, the molar heat capacity of the mixture of gases at constant pressure (CP)mix is,

The gas ratio (𝛾) of the mixture is,

Latent heat of any substance is defined as the heat required to change the phase of that material. The latent heat is absorbed at a constant temperature. This means that the heat absorbed is solely used for changing the phase of the substance. All the energy in the heat is absorbed by the constituent molecules or atoms to break the bond between them or to move apart.
The energy is hidden within the molecules until the phase change occurs and hence it got its name as latent heat.
If m kg of substance undergoes phase change, quantity of heat required(Q) will be,
Q=mL
Where L= Latent heat of the substance


Heating curve

oa - Ice
a - Melting point of Ice
ab - Phase change
bc - Water
c - Boiling point of water
cd - Phase change
de - Steam
1. Initially when the ice is at -25oC, its temperature rises as heat is supplied to it. When the temperature reaches 0oC, ice starts melting and converts into water at 0oC. The heat supplied in ab region corresponds to latent heat of fusion and during this region temperature becomes constant.
2. In the region bc, the temperature of the water starts rising with heat supplied. Since the specific heat of water(1 kcal/kg oC) is more than that for ice(0.5 kcal/kg oC), therefore the slope for bc curve is less as compared to that for oa. Point c corresponds to the boiling point of water.
3. In the region cd, phase change occurs from water to steam as long as heat (latent) is supplied to the water. During this region temperature becomes constant.
4. When all the water convert into steam at 100oC, the temperature of the steam starts rising. Since the specific heat of steam(0.48 kcal/kg oC) is least of all i.e. water and ice, therefore slope will be the largest of all.
Q 1. A mixture contains 1 mole of helium (cp1=2.5R, CV1=1.5R) and 1 mole of hydrogen (cp2=3.5R, CV2=2.5R). Calculate the values of CP , CV , and 𝛾 for the mixture.
Answer:
Given,
![]()
Specific heat capacity of the mixture at constant volume is

Specific heat capacity of the mixture at constant pressure is

The gas ratio (𝛾) of the mixture is,

Q 2. 1 kg of ice at −20 ℃ is converted into 1 kg of water at 100 ℃. Find the heat required (H) for the complete process.
Solution
We have,
Mass of the ice, mice= 1 kg
Specific heat of the ice, sice =0.5 cal g-1℃-1
Latent heat for ice, Lf = 80 cal g-1
Specific heat of the water, swater = 1 cal g-1℃-1

The step-by-step process from the ice at –20 ℃ to the water at 100 ℃ is as follows:
1 kg ice at −20 ℃ (Q1)1 kg ice at 0 ℃(Q2)1 kg water at 0 ℃(Q3)1 kg water at 100 ℃
Therefore, to get the water of 100 ℃ from the ice of –20 ℃,
Total required heat, Q=Q1+Q2+Q3
Thus, according to the given process,
Step 1: 1 kg ice at −20 ℃ 1 kg ice at 0 ℃

Step 2: 1 kg ice at 0 ℃(Q2) to 1 kg water at 0 ℃
It is a fusion process and the latent heat of fusion for ice is as follows:
Lf = 80 cal g-1
Thus,
Q2 = miceLf = (1,000 ) x (80)=80 kcal
Step 3: 1 kg water at 0 ℃1 kg water at 100 ℃
Q3 = mwaterswater(100 – (0))
⇒ Q3= (1,000 )(1)(100 )=100 kcal
Therefore, the net required heat, Q=Q1+Q2+Q3=10+80+100=190 kcal
Q 3. If the specific heat of a substance is infinite, then what does it mean?
a. Heat is given out.
b. Heat is taken in.
c. No change in temperature takes place whether heat is taken in or given out.
d. All of the above
Answer: (c)
If specific heat of a substance is infinite,
Q=mcT

Since mass of the object cannot be 0, therefore T=0
Whether heat is given to or taken from the body, the temperature of the body is not going to change.
So, the change in temperature must be 0.
Q 4. When 80 g of water at 30 oC is poured on a large block of ice at 0 oC, what is the mass of ice that melts?
a. 30 g
b. 80 g
c. 1600 g
d. 150 g
Answer: (a)
Let the mass of ice melted be mi
Heat loss =Heat gain

Q 1. Name of the device that can be used to measure the latent heat?\
Answer: Calorimeter.
Q 2. What is the advantage of water’s heat capacity?
Answer: Because water has a high heat capacity, increasing the temperature by one degree requires more energy. The sun sends out a more or less constant energy level which heats up sand faster and water slower on a beach.
Q 3. How do you measure specific heat capacity?
Answer: Specific heat efficiency is measured by the amount of heat energy required to raise one gram of one degree Celsius of a product. Water’s specific heat power is 4.2 joules per gram per Celsius degree or 1 calorie per gram per Celsius degree. The device that can be used for measurement of specific heat capacity is calorimeter.
Q 4. What produces more severe burns, boiling water or steam?
Answer: Since steam has more heat in the form of latent heat of vaporisation, it causes more burn when it comes in contact.