Call Now
1800-102-2727In our practical life we mainly come across extended bodies i.e bodies which are spread out in space. In these types of bodies every point mass within the body is connected to the whole with no gaps in between. These bodies are called continuous bodies and the distribution of mass is known as continuous mass distribution.
Calculations for the centre of mass for these bodies is done by assuming that the body consists of infinitely small point masses and then integrating it to cover the whole body. Now we will study about this distribution in detail.
Centre of mass of a body depends on its geometrical shape. If a body is symmetrical and of uniform composition, the centre of mass will be located at its geometrical centre.
For example:
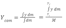
Here we will discuss a method of finding the centre of mass for asymmetrical objects having continuous mass distribution. If we consider an infinitesimal mass element dm such that upon integration within certain limits it will cover the whole body then the position vector of centre of mass is given by:

To calculate coordinate of centre of mass at individual axis we can write above equation as:

The mass element can be chosen through any of these ways:
Linear mass Density![]()
Therefore, the mass of small element is given by:
(where dl is the length of the small element)
Areal mass Density
Therefore, the mass of small element is given by:
(where dA is the area of the small element)
Volumetric mass density
Therefore, the mass of small element is given by:
(where dV is the volume of the small element)
Ques 1:
Does the centre of mass of symmetric bodies always lie at their geometrical centre?
Solution:
No, it is not necessary that the centre of mass of symmetric bodies lie at their geometrical centre. For e.g a body with non uniform mass distribution the centre of mass may not lie at their geometrical centre. It will lie close to the point where mass density is more.
Let us consider some examples to understand the concept better.
Example 1:
Find the centre of mass of a uniform semi-circular ring of radius R and mass M
Solution:
Consider a differential element dm traversing an angle d at an angle with the horizontal as shown in figure.

Let mass per unit length
![]()
Length of infinitesimal element

Therefore,
![]()
For a uniform distribution of mass

where r is the position of element dm.
then


This gives the centre of mass of a uniform semicircular ring.
Example 2:
Find Center of Mass of Semi circular Disc of mass M and radius R.
Solution:
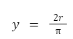
Consider a small ring element of mass dm as shown of radius r and width dr from the centre of the given disc.

We know that the COM of the ring element is at a distance
from the centre on y axis.
Areal mass density of disc
of discArea of disc
Area of disc ![]()
![]()
Also, Areal mass Density of ring element ![]()
Therefore, the mass of small element is given by:
------(2)
(where dA is the area of the small element)

length of ring element ![]()
![]()
On substituting above values in equation (2), we get,

Since mass distribution on both sides of y axis is same, so by symmetry, CM must lie on y axis, i.e. ![]()
Thus,
……(3)
Where, y is the centre of mass of the ring element,
where r is the radius of the small ring.
Substitute all values in equation (3)
(since r can vary from 0 to R)

On integrating we get,

Substituting the limits, we get,

Thus coordinate of Centre of mass of semicircular disc is (0, 4R/3)
Example 3:
Find Center of Mass of hemispherical bowl of mass M and radius R.
Solution:
Consider a small ring element of mass dm as shown at an angle with the horizontal and width d .

We know that the COM of the symmetrical ring element lies at the centre of the ring which is at a distance of R cos from the centre of the base.
Areal mass density of hollow hemisphere
Area of disc
….(1)
Also, Areal mass Density of small ring element
Therefore, the mass of small element is given by:
------(2)
(where dA is the area of the small element)
Length of ring element ![]()
![]()
On substituting above values in equation (2), we get,

Since mass distribution on both sides of y axis is same, so by symmetry, CM must lie on y axis, i.e. ![]()
Thus,
……(3)
Where, y is the centre of mass of the ring element,
cos where r is the radius of the small ring.
Substitute all values in equation (3)


On integrating we get,
![]()
Substituting the limits, we get,

Thus coordinate of Centre of mass of hollow hemisphere is ![]()
Consider a uniform sphere of radius R. A sphere of diameter R is cut from its edge as shown. Let’s find the distance of centre of mass of remaining portion from the centre of mass of the original sphere

Using the above fact, we apply the formula for calculation of COM of the remaining portion of the body in the given problem.
Let the mass density of uniform sphere be P
Now we know that
COM of remaining portion = COM of original sphere - COM of smaller sphere
Let the COM of original sphere be P(0,0)

Now COM of small sphere ![]()
(since the sphere is uniform its COM will lie at the centre)
And Com of remaining portion ![]()
Mass of original sphere ![]()
Mass of smaller sphere ![]()
Mass of remaining portion ![]()
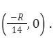
Apply equation of COM along x axis at point P, we have

Thus, COM of remaining portion is -![]()
Hence option (b) is correct