
What is the difference between a stationary ball on the 5th floor and a moving ball on the same floor? The moving ball, by virtue of its motion, has kinetic energy.
Work is said to be done whenever an object undergoes displacement. A ball for instance, when pushed with a certain force, starts with a certain initial velocity, rolls forward, attains a higher velocity if the force is constantly applied. Since there is a change in its position, work is said to be done on the ball by the external force.The work energy theorem tries to establish a relation between work done and kinetic energy.
Table of contents
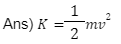
The energy possessed by a particle undergoing motion by virtue of its motion is called kinetic energy. It is defined as
K = ½ mv2

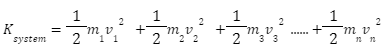
Fig. shows different particles of masses m1,m2 ….. mn possess velocities v₁,v₂ and so on.
Let us consider a system of n number of particles, having masses m1,m2....mn.
Let v1,v2.....vn be the velocities of particles.
Let the KE of the system of particles be Ksystem. Then

The unit of Kinetic energy is Joule. Its symbol is J.
The dimensional formula is [ML2T-2]
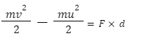
According to the work energy theorem, the work done by a force on a body is numerically equal to the kinetic energy change it has undergone. Let us consider a body of mass m , moving with velocity u. Upon applying an external force F, which displaces it through a distance d , accelerates it to a velocity v. Then,

Since work done W = F × d=m × a × d ; a is the acceleration produced by the force F.
Now by third equation of motion,

i.e Work done = Change in KE.
This can also be proved using the calculus approach.
Since small work done, dW=Fdx , where F is the force applied which displaces it through dx.
Then,

Video explanation
1) Calculate kinetic energy of a body of mass 10 g moving with a velocity of 2 ms-1.

2) A bullet of mass 10 g leaves a rifle with an initial velocity of 1000 ms-1 and strikes the wall at the same level with a velocity of 500 ms-1. What is the work done to overcome the resistance of air?
(a) 375 J (b) 3750 J (c) 5000 J (d)500 J
Solution) b
From work energy theorem,
Work done= change in Kinetic energy;

So, the work done to overcome the resistance of air will be 3750 J.
3) A force acts on a 30 g particle in such a way that the displacement of the particle as a function of time is given by , x =3t-4t2+t3, where x is in meters and t is in seconds. What is the work done during the first 4seconds?
(a) 5.28 J (b) 4.50 mJ (c) 49 mJ (d) 530 mJ
Solution)a
Displacement x =3t -4t2+t3

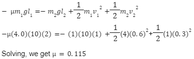
4) In the fig. given below, the block of mass 1 kg has a speed of 0.3 ms-1 after it has been lowered through a distance of 1 m. Find the coefficient of kinetic friction between the block and the table.

Solution)

Given m1=4 kg; m2=1 kg;l2=1 m
Let T be the tension in 4 kg block; then tension in 1 kg block is 2T.
T.l1 = 2T.l2 ⇨ l1=2l2,
∴l1 = 2(1) = 2 m
v1 = 2v2; v1=2(0.3)=0.6 m/s.
If be the coefficient of friction, then by W.E.T.

Question1. What is the expression for kinetic energy of a body of mass m and velocity v?

Question2. What is the statement of the work energy theorem?
Answer. The work energy theorem states that the work done on a body is equal to the change in kinetic energy of the body.
Question3. What is the dimensional formula for work done?
Answer. [ML2T-2]
Question4. What is the KE of a particle at rest?
Answer. For a particle at rest, velocity v=0

JEE Main marks vs rank vs percentile
JEE Advanced Eligibility Criteria
JEE Advanced Chemistry Syllabus
JEE Advanced Registration Dates