Call Now
1800-102-2727Suppose you are driving a car, and a building made up of plane glass is at the side of the road. When you are at some distance from the building you will notice that the image of your car reflected in the building is also moving with some velocity. You look at the rearview mirror, you see the images of vehicles behind you moving. Lets understand how to find these velocities in more detail!
Table of content
Velocity of an image of an object in front of the mirror depends upon the velocity of the object and the velocity of the mirror. Here the following cases are discussed to understand this concept.
Case 1: When the object is moving and the mirror is at rest
Let us consider an object moving towards the mirror with speed vo at a distance x from the mirror.
Let the image formed by the mirror move with speed vi at distance y from the mirror. The mirror is at rest in this case.
Sign convention for plane mirror
Since, a plane mirror is the perpendicular bisector of the line joining the point object and point image; if the distance between object and mirror decreases, then distance between image and mirror also decreases.
Therefore, we get the following:
x=-y
Differentiating with respect to time

Here, both the velocities are with respect to the mirror.

Since the mirror is at rest,
vm=0
So, the equation changes as follows:
vo=-vi
So, when an object moves with some velocity in front of the mirror, the image also moves with the same velocity but in the opposite direction.
Case 2: When the mirror is moving and the object is at rest
Let us consider an object that is at rest and kept in front of a mirror. The mirror moves towards the object with speed vm and the image formed by the mirror also moves towards the object with speed vi.
We know,

Since the object is at rest, vo=0
So the equation changes as follows:
vi=2 vm
So, if the mirror moves towards the object with some speed, the image formed by the mirror will move with twice the speed as that of the mirror.
Case 3: When both object and mirror are moving
Let us consider an object moving perpendicular and towards a mirror with speed vo . The mirror moves towards the object with speed vm and the image formed by the mirror also moves towards the object with speed vi.
The relation between the velocities of object, mirror, and image is given as follows:

Case 4: When the object is moving parallel to the mirror
Let us assume that the object moves parallel to the mirror with speed vo. So, the image formed also moves parallel to the mirror. Now, after some small time dt, the object moves a distance xo, then the image moves a distance xi.
From the diagram we can say,
xo=xi
On differentiating the distance with respect to time, we get the following:

So, if an object moves parallel to the mirror with some speed, the image formed by the mirror will move with the same speed as that of the object.
Q 1. A plane mirror is approaching you at a speed of vm = 10 cm s-1. You can see your image in it. What will be the speed of your image in the mirror?
a. 10 cm s-1
b. 5 cm s-1
c. 20 cm s-1
d. 16 cm s-1
Answer: Given,
The speed of the mirror, vm = 10 cm s-1
The mirror is moving towards the object.
From the relation of velocities, we get the following:

Thus, option (C) is the correct answer.
Q 2. An object is initially at a distance of 100 cm from a plane mirror. The mirror approaches the object at a speed of 5 cm s-1. What will be the distance between the object and its image after 6 s?
a. 60 cm
b. 140 cm
c. 170 cm
d. 50 cm
Answer: Given,
The initial distance between the object and the mirror = 100 cm
Velocity of the mirror, vm = 5 cm s-1
After 6 s,
Distance traveled by the mirror in 6 s = 5 cm s-1 × 6 s = 30 cm
Distance between the object and the mirror = x = 100 - 30 = 70 cm
Distance between the object and the image = 2x = 140 cm
Thus, option (B) is the correct answer.
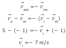
Q 3. An object moves at a speed of 5 ms-1 and the mirror moves with 1 ms-1 as shown. Find the velocity of the image.
a. 7 ms-1 towards the left
b. 3 ms-1 towards the right
c. 10 ms-1 towards the left
d. 6 ms-1 towards the right
Answer: Given,
The speed of the mirror, vm = 1 ms-1
The speed of the object, vo = 5 ms-1

The velocity of image is 7 m/s towards the left.
Thus, option (A) is the correct answer.
Q 4. A point object moves at a speed of 10 ms-1 while making an angle of 60° with the x-axis. A mirror kept parallel to the y-axis moves at a speed of 5 ms-1 while making an angle of 30° with the x-axis. If the object and the mirror are moving towards each other, find the velocity of the image.

Answer: Given,
The velocity of the object is 10 ms-1 and it is making an angle of 60° with the x-axis.
The velocity of the mirror is 5 ms-1 and it is making an angle of 30° with the x-axis.
Let us resolve the velocity into components along the x and y axes.
1. Motion perpendicular to the mirror
The velocity of the image along the x-axis is given as follows:

2. Motion parallel to the mirror
The velocity of the image is not dependent on the velocity of the mirror along the y-axis

Thus, option (A) is the correct answer.
Q 1. A plane mirror is moving towards you at a speed of 10 cm/s. At what speed will your image approach you ?
Answer: In this case the image approaches at double the speed of the mirror, so 20 m/s.
Q 2. The radius of curvature for a plane mirror is?
Answer: The radius of curvature for a plane mirror is infinity.
Q 3. A watch shows time as 3:25, when seen in the mirror, the actual time will be?
Answer: Due to the laterally inverted image formation, the actual time will be 8:35.
Q 4. The magnification of a plane mirror is?
Answer: In a plane mirror, the height of the object and image are equal. So, magnification = +1.