Call Now
1800-102-2727Do you know how we communicate with others? This is because of longitudinal waves. When we speak something longitudinal waves in terms of pressure are produced and transmitted to the surrounding medium. This longitudinal wave reaches to the ear of the listener.
Table of content
Longitudinal waves are defined as the motion of medium particles along the direction of propagation of waves. Particles do to and fro motion but net displacement in the complete time period is zero.
Example- Sound wave, P-type earthquake wave, Motion of spring shown in figure.


The frequency of the longitudinal wave is the number of compression or rarefaction per second.
A sound wave is a longitudinal wave and is produced by the vibrating motion of the particles that travel through a conductive medium. An example of sound waves in a longitudinal direction is the tuning fork.

In Sound waves, the amplitude is the difference between the maximum pressure caused by the wave and the pressure of the undisturbed air. The speed of sound depends upon the type, composition of the medium, and temperature through which it propagates.
Classification of sound waves:
Sound waves can be divided into three Part according to their range of frequencies:
1. Infrasonic waves-Sound waves which have frequencies less than 20 Hz are called infrasonic waves.Infrasonic waves are produced during earthquakes. Humans' ears cannot hear these frequencies, snakes can hear these frequencies.
2. Audible waves-Sound waves which have frequencies between 20 Hz to 20,000 Hz (20kHz) are called audible waves. Human ear can hear these frequencies.
3. Ultrasonic waves-Sound waves which have frequencies greater than 20 kHz are known as ultrasonic waves. Human’ ears cannot hear these frequencies, Bats can produce and hear these frequencies.
For solid :
Speed of sound for solid

where Y is the Young’s modulus of the material and is the density of material.
For liquids:
Speed of sound for Liquid

where, K is the bulk modulus and is the density of the fluid.
For Gasses:
Speed of sound for Glasses

where, B is known as bulk modulus of medium and is the density of the gasses.
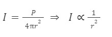
The sound power transmitted per unit area, normal to the propagation of the sound wave is defined as intensity of sound ”.

For a particular source, the sound intensity is inversely proportional to the square of the distance from the source.

This relation is called the inverse square law of sound intensity.
Loudness
The loudness of a sound wave is related to its intensity. Our perception of loudness is correlated with the sound level. The sound level is defined as

Where I is the intensity of the concerned sound wave and I0 is the minimum audible intensity, which is 10-12 W m-2
The sound level is measured in decibels (dB).
For I = I0, the sound level, β = 0
Pitch
The pitch of a sound is a sensation or characteristic that represents the dominant frequency of a sound wave. In the practical world, all waves are polychromatic (i.e., composed of different frequencies) and the human ear is more sensitive to the comparably higher frequencies. Therefore, it can be said that higher the frequency, higher will be the pitch, and vice versa. For example, a woman’s voice has a higher frequency than a man’s voice and therefore, the pitch of a woman’s voice is higher.

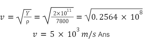
Q 1. Calculate the speed of sound in a steel rod. Young’s modulus of steel rode is Y = 2 × 1011 Nm-2 and density of ρ = 7800 kg m-3.
Answer:

Hence, longitudinal waves travel faster in a solid than in a liquid or a gas. Now you may understand why a shepherd checks before crossing a railway track by keeping his ears on the rails to safeguard his cattle.
Q 2. When the pressure of a certain water is increased by 100 kPa causes decreases volume by 0.005% of its original volume.
(a) What is the bulk modulus of water?.
(b) Calculate the speed of sound in water?.
Answer: (a) Bulk modulus of water

(b) Speed of sound

Q 3. If the power of a sound source is 2 W find the intensity at the distance of 1 m meter from the source.
Answer: As we know the intensity of a sound source is

Given the power of sound source P=2 W
And the distance from source r=1 m

Q 4. A dog barks on seeing a thief and the sound is detected at a distance of 3.0 m such that the intensity of sound at this distance is 10-2 W m-2. Calculate the intensity of the Dog's barking at a distance 6.0 m.
Answer: I1 is the intensity of sound detected at a distance 3.0 m and it is given as 10-2 W m-2.
Let I2 be the intensity of sound detected at a distance 6.0 m.
And r1=3.0 m, r2=6.0 m


Q 1. Can longitudinal waves travel in a vacuum?
Answer: Longitudinal waves cannot travel through a vacuum.They need a medium to propagate.
Q 2. What is the range of frequency the human ear can hear?
Answer: 20 Hz to 20,000 Hz.
Q 3. What do you understand by the persistence of hearing a human ear?
Answer: The sensation of hearing any sound persists in our brain is 0.1 s. This is called the persistence of hearing.
Q 4. What is the wave front of sound waves?
Answer: A wave front is a surface Which contains all points on a wave at the same position in a wave cycle. For example, all of the points located on the trough of the same waveform a wave front. Similarly, all of the points located at the crest of the same waveform a wave front.
Related link
|
Wave,Type of Waves,Terms related to Waves,Practice Problems, FAQs |
Transverse Wave-definition,Practice problem,FAQs |
|
Progressive wave : Displacement Relation |
Progressive wave : Amplitude, phase, wave length, period, angular frequency and frequency, ultrasound |