Call Now
1800-102-2727Moment of inertia plays an important role in studying the rotational motion of rigid bodies. Thus it becomes extremely important to get to know about how the moment of inertia of some basic rigid bodies can be evaluated.
Table of contents
The moment of inertia of a uniform disc of mass M and radius R about the centroidal axis is perpendicular to the plane of the disc.

To find the moment of inertia of a uniform disc, we assume that the disc is made up of several uniform rings. One of them has a radius r and thickness dr as shown in the figure.

Consider a rectangular lamina of mass M, length l, and breadth b.
Take a rectangular strip of thickness dx at distance x from the axis of rotation.
Consider that the lamina is rotating along the y-axis.

Mass per unit area of the lamina,
Alternatively, we can calculate the moment of inertia for the lamina by considering the moment of inertia for a thin rod of mass dm and then integrating along the length or breadth of the lamina to get the moment of inertia about the different axes of rotation.

In this case,
For the rod with mass dm and length b moment of inertia,

Moment of inertia of lamina,

Moment of inertia of a thin uniform hollow cylinder of mass M, length L, and radius R about the centroidal axis parallel to the height of the cylinder.
(Recreate the image)

The entire mass of the cylinder is distributed uniformly over the area of the cylinder. So, the mass per unit area will be,

The thin hollow cylinder can be considered to be made up of thin rings exactly placed one over the other. Let us consider the y-axis to be the centroidal axis of the cylinder and the origin to be the centre of the base. Let us now consider a ring of thickness dy and mass dm at a
distance y above the origin.

So,

The moment of inertia of this segment about the centroidal axis is,



Thus moment of inertia of entire cylinder,

Since, 

Moment of inertia of a uniform solid cylinder of mass M, length L, and radius R about the centroidal axis parallel to the height of the cylinder is calculated in the next lines. The solid cylinder can be considered to be made up of thin discs exactly placed one over the other. Let us consider the y-axis to be the centroidal axis of the cylinder and the origin to be the centre of the base.

Let us now consider a disc of thickness dy and mass dm at a distance y above the origin. So,


The moment of inertia of this segment about centroidal axis is,
The moment of inertia of the entire cylinder is,
Moment of inertia of a uniform hollow sphere of mass M and radius R about the centroidal axis is calculated in the next lines. The entire mass of the sphere is distributed uniformly over the area. So, the mass per unit area will be,
Let us consider the y-axis to be the centroidal axis of the sphere and the origin to be the centre.
Let us now consider a random ring of mass dm as shown in the figure. The chosen segment is at an angle θ with the x-axis, and the ring itself subtends an angle of dθ at the origin.

So, the radius of the chosen ring will be R cos θ. If the ring is cut at a place along height and opened, it forms a rectangle of length 2πR cos θ and width R dθ.
So, the area of the ring is, dA = (2πR cos θ)R dθ
Thus, the mass of the ring is, dm = σ dA
dm = σ (2πR cos θ)R dθ
The moment of inertia of the segment about centroidal axis,
The moment of inertia of the entire sphere,
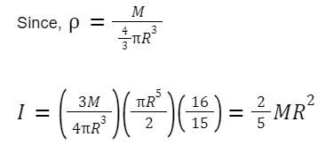
Moment of inertia of a uniform solid sphere of mass M and radius R about the centroidal axis is
calculated in the next lines. The entire mass of the sphere is distributed uniformly over the entire volume. So, the mass per unit volume will be,
Let us now consider a random disc of mass dm as shown in the figure.

The chosen segment is at an angle θ with the x-axis, and the disc itself subtends an angle dθ at the origin. So, the radius of the chosen disc will be R cos θ and the
thickness will be R cos θ dθ.
So, the volume of the disc is, dV = (πR2cos2θ)R cos θ dθ
Thus, the mass of the ring is, dm = ρ dV
Hence, dm = ρ (πR3cos3θ) dθ
The moment of inertia of the segment about centroidal axis,
The moment of inertia of the entire sphere,
Thus,
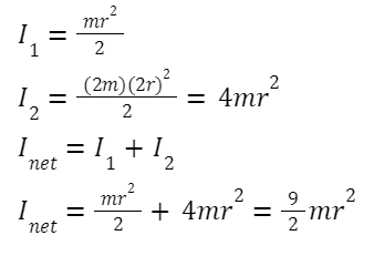
Q1. Two discs, one with radius r and mass m, and the other with radius 2r and mass 2m, are placed together and mounted on a frictionless axis through their common centre. Find the net moment of inertia of the system.

Answer: In this problem, the two discs have the same axis of rotation. Two moments of inertia can be added to get the moment of inertia of the system.
The moment of inertia of a disc about the axis of rotation passing through its COM and perpendicular to its plane is given as follows:

Q2. Find the moment of inertia of a square lamina about an axis passing through one of its sides.

Answer: The formula for the MOI of the square lamina of mass m and side length l rotating about an axis passing through its centre is given by the following:


Consider three squares of the same size and mass placed along this square. We will get a large square whose axis of rotation coincides with the axis of rotation of this square.
Consider the MOI for the large square as I',
Q3. The moment of inertia of solid sphere is 15 kg m2. What will be the moment of inertia of a thin spherical shell having the same mass and radius as that of the solid sphere?
Answer: Moment of inertia of solid sphere, 
Moment of inertia of thin spherical shell,

Q4. Mass per unit area of a circular disc of radius a depends on the distance r from its centre, as . Find the moment of inertia of the disc about the axis, perpendicular to the plane and passing through its centre.
Answer: Given,
Mass per unit area of circular disc,
Consider a small elemental ring of thickness dr at a distance r from the centre,

The moment of inertia of the ring about an axis, perpendicular to the plane and passing through its centre, is given by,
Q5. What is the ratio of moment of inertia of a hollow cylinder and solid cylinder having same mass and radius?
Answer: 
Question 1. Out of two cylinders one hollow and other solid, having the same mass and radius, which will have greater moment of inertia about the centroidal axis?
Answer: Hollow cylinder will have higher moment of inertia since the same mass is distributed far from the axis.
Question 2. Why does a solid sphere have a smaller moment of inertia than a solid cylinder if both have the same mass and radius?
Answer: For hollow cylinder, whole mass is distributed uniformly at distance equal to radius whereas for sphere same mass lies at distance varying from 0 to radius.
Question 3. What is the unit of moment of inertia?
Answer: kg m2
Question 4. Moment of inertia, of a spinning body about an axis, doesn’t depend on which of the following factors?
A. Distribution of mass around axis
B. Orientation of axis
C. Mass
D. Angular velocity
Answer: Moment of inertia does not depend upon angular velocity.