Call Now
1800-102-2727Suppose you are driving a car on a highway, another vehicle is moving just behind you. Now the vehicle behind you wants to overtake and blows horn. As the automobile vehicle has convex mirrors, the image formed will be smaller in size for the vehicles behind it . How will you judge at what distance the actual vehicle is? You can find the distance of the vehicle by mirror formula. Let’s see the mirror formula in detail!
Table of content
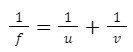
Mirror formula is an equation relating object distance and image distance with focal length. Mathematically it is given as
![]()
Where,
u = Distance of the object from the pole
v = Distance of the image from the pole
f = Focal length of the mirror
Let us consider a point object placed beyond C of a concave mirror. For obtaining the image, we make the ray diagram; we can take any two rays.
1. The first ray goes straight along with the principal axis and after reflection, it retraces the same path.
2. Another ray is taken, which makes an angle of 𝜃 to the normal drawn and reflects back towards the principal axis.
Both the rays, after reflection, meet each other at some point, say I, that is between F and C. The image is formed at point I.
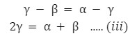
Let us assume the angle subtended by the object, image, and the center of curvature with the principal axis be 𝛼, 𝛽, and 𝛾.
For triangle AOC

By subtracting equation (ii) from equation (i), we get the following:
![]()
The perpendicular drawn from A meets the principal axis at M, and M is very close to P. So, we can treat them as the same points, i.e., AM ≈ AP.
From the diagram,

For small angle , ,and

By substituting value of , ,and in equation (iii), we get the following

This is the mirror formula for a concave mirror.
Let us take a convex mirror of small aperture and let the object be placed somewhere between P and infinity. To obtain the image, we make the ray diagram and we can take any two rays.
1. The first ray goes along the principal axis and is extended towards the back of the mirror.
2. The second ray falls on the mirror at an angle of 𝜃 with the normal at that point and gets reflected. On extending the reflected ray behind the mirror, it meets the principal axis at some point between P and F.
Both the rays after reflection meet each other at some point, say I, which is between P and F. The image is formed at point I.
Let us assume the angle subtended by the object, image, and the center of curvature with the principal axis be 𝛼, 𝛽, and 𝛾.

The perpendicular drawn from A meets the principal axis at a point very close to P.
So, from the diagram,

For small angle , ,and
By substituting value of , ,and in equation (iii), we get the following

This is the mirror formula for a convex mirror which is the same as a concave mirror.

1. All the measurements are to be taken from the pole.
2. All the measurements in the direction of the incident ray are taken as positive and the measurements taken opposite to the direction of the incident ray are negative.
3. All the measurements above the principal axis are taken as positive and all the measurements below the principal axis are taken as negative.
The Mirror Formula isn't just for passing tests; it’s used to build the technology we use every day:
• Dentist Mirrors: They use concave mirrors to see a magnified (larger) image of your teeth.
• Car Rearview Mirrors: These use convex mirrors to give a wide view of the traffic behind you.
• Telescopes and Cameras: Scientists use these formulas to design lenses and mirrors that can capture light from distant stars or snap the perfect portrait.
Q 1. A point object is placed at a distance of 30 cm from a concave mirror of focal length 10 cm. Where will the image form?
a. 10 cm in front of mirror
b. 15 cm behind of mirror
c. 15 cm in front of mirror
d. 10 cm behind of mirror
Answer:
Given,
Distance between the object and the mirror, u = -30 cm
Focal length of the mirror, f = -10 cm
According to the mirror formula,

The image is formed 15 cm in front of the mirror.
Thus, option (C) is the correct answer.
Q 2. Converging rays are incident on a convex mirror such that their extensions intersect 30 cm behind the mirror on the optical axis. The reflected rays form a diverging beam such that their extensions intersect the principal axis 1.2 m from the mirror. Determine the focal length of the mirror.
Answer: Since the incident rays are converging but do not intersect before the pole of the mirror, their extensions intersect 30 cm behind the mirror on the optical axis. This intersection point will serve as an object and it will be a virtual one.
Therefore, the x-coordinate of the distance of the object will be, u = + 30 cm
It is also given that the diverging reflected rays do not actually meet, rather their extensions meet and the intersection point is 1.2 m behind the mirror on the optical axis (or principal axis). This intersection point will be the image and it will be a virtual one.
Therefore, the x-coordinate of the distance of the image will be, v = + 1.2 m = + 120 cm
By applying the mirror formula, we get,

Therefore, the focal length of the mirror is 24 cm.
Q 3. Find the position of the image in the figure shown if PO = 20 cm and f = 20 cm
Answer: Given,
Distance between the object and the mirror, u = 20 cm (Object is behind the mirror)
Focal length of the mirror, f = -20 cm
According to the mirror formula,

The image is formed 10 cm in front of the mirror.
Q 4. A point object is placed at a distance of 10 cm from a convex mirror of focal length 10 cm. Find the position of the image.
a. 10 cm in front of the mirror
b. 5 cm behind the mirror
c. 5 cm in front of the mirror
d. 10 cm behind the mirror
Answer: Given,
Distance between the object and the mirror, u = -10 cm
Focal length of the mirror, f = 10 cm
According to the mirror formula,

The image is formed 5 cm behind the mirror.
Thus, option (B) is the correct answer.
Q 1. Is the mirror formula valid for plane mirrors?
Answer: Yes, for plane mirror focal distance f=, putting in mirror formula we get v=-u.
Q 2. What are the assumptions for applying the mirror formula?
Answer: There are two assumption as follows
Q 3. The mirror has a very small aperture.
Answer: If we drop any perpendicular from any point on the mirror to the principal axis, it intersects almost at P on the principal axis.
Q 4. Who derived the mirror formula first?
Answer: German chemist Justus von Liebig derived the mirror formula first.
Q 5. What is the application of the mirror formula?
Answer: Mirror formula is used to predict the image distance when object distance and focal length of the mirror are known.
Q 6. Does magnification have any units?
No, lateral magnification is dimensionless. Since it is a ratio of two lengths (image height divided by object height), the units (like cm or mm) cancel each other out.
Q 7. What is longitudinal magnification?
This describes how the length of an image is magnified along the principal axis. It is used for objects lying flat along the axis rather than standing upright, essentially measuring the magnification of the object's "depth".