Call Now
1800-102-2727You must have seen a transformer installed in your locality. They are huge, bulky devices usually installed in an electrical substation. Are all the transformers the same? Definitely not. Transformers come in a variety of shapes and sizes, depending on their intended use. The transformers that are used at the generating station are different from the ones used in our locality. In this article we will be studying different types of transformers and losses that take place in transformers.
Table of Contents
Transformers are employed in a variety of industries, including electric energy consumption, transmission, and the grid for power generation. Transformers come in a variety of varieties that are categorised according to several criteria. Check them out one by one.
In this case secondary output voltage is greater than primary voltage. The voltage is stepped up using this transformer. So the number of windings in the secondary coil are higher than primary windings.

2. Step Down Transformer
In this case secondary output voltage is less than primary voltage. This transformer is used to step down the voltage. So the number of windings in the secondary coil are lower than primary windings.

In the transformers different cores are used, depending on that there are two types of transformers
1. Air core transformer
In this arrangement, the air serves as the flux link between the primary and secondary windings. the windings or coils wound on the magnetically neutral strip.
2. Iron core transformer
This style of winding uses many iron plates that have been placed on top of one another, creating the ideal linking path to create flux.
In this type of transformer winding surrounds the core. The flux is equally distributed on side limbs of the core.
2. Core type transformer
In this type of transformer core surrounds the winding. The central limb carries the whole flux and side limbs carry half of the flux.
Let’s understand and study the major types of losses that take place in transformers.
1. Resistance of the windings
Since the power loss in any electrical circuit is defined as: P=i2R. Higher the resistance of the windings, higher will be the power loss. To overcome this problem, thick wire is used to make the windings. If the wire is thick, its cross sectional area becomes large and hence, its resistance becomes low. So, the power loss will be less and because of the thickness of the wire, it can sustain a high level of current.
2. Eddy currents
Eddy current in the AC circuit plays a vital role in power loss. When the changing flux links with the core itself, it induces emf in the core which in turns sets up the circulating current called Eddy Current. And these current in return produces a loss called eddy current loss or (i2R) loss, where i is the value of the current and R is the resistance of the eddy current path. Instead of using a solid iron core, if we use multiple metal slots electrically insulated from each other, we can substantially reduce the eddy current in the core. We use electrical insulation between the slots so that the eddy current doesn’t flow from one slot to another.
3. Hysteresis
When we constantly magnetise and demagnetize a material, we know that there is energy loss which is proportional to the area of the hysteresis loop. The B vs H curve is called a hysteresis loop. Since the area of the hysteresis loop for soft iron has less than any other material, it is used as the core of the transformer.
Transmission of power
Typically, the locations where the power is used are far from the electrical producing plants. Therefore, hundreds of kilometres of wires carry the power away from the power plants. Due to joule heat, a significant quantity of energy is lost because the wires have their own resistances. H=i2Rt. On the basis of transmission, there are two types of transformers.
1. Power Transformer: It is used at power generation stations as they are suitable for high voltage application.
2. Distribution Transformer: Typically used for residential uses at distribution lanes. They are made to transport low voltages. It has low magnetic losses and is very simple to install.
3. Huge generators produce electricity in a generating plant. Wind, coal, natural gas, or water can all be used in power plants.
With the help of generators electricity can be produced in power generation plants. We generally use water, natural gas, coal and wind for generating electricity.
4. The current is routed through transformers, which boost the voltage and allow the electricity to travel vast distances.
By using transformers we step up the voltage to reduce transmission losses and at the receiver side it again stepped down using step down transformers.
5. The electrical charge travels across the country via high-voltage transmission cables.
You must have seen transmission lines while travelling, they are used to transmit the high voltages.
6. It arrives at a substation, where the voltage is reduced so that it can be transmitted via shorter power lines.
At substation, voltage is reduced for transmitting it to shorter power lines.
7. It makes its way to your community via distribution lines. Smaller transformers lower the voltage so that it is safe to use in our homes. These tiny transformers can sit on the ground or be installed on poles.
By using distribution lines it is received in your locality. The voltage is reduced for the safe use of domestic appliances.
8. It connects to your home and runs through a metre that tracks how much energy your household consumes.
Received electricity is passed through the metre which tracks the amount of power consumption.
9. Breakers or fuses safeguard the cables inside your house from being overloaded at the service panel, which is located in your basement or garage.
Fuses are used to protect electrical appliances from high voltage caused short circuits.
10. Throughout your home, power passes through wires inside the walls to outlets and switches.
With the help of cables we transfer electricity to every corner of your home.
Now, based on its capacity, each power plant may produce a fixed amount of power. We can significantly raise the voltage and, as a result, reduce the current, by using a step-up transformer at the power plant. As a result, there is less joule heating.
In order to use a specific rated voltage, a step down transformer is now used at the place where the power is used.
Q 1. In a transformer, the output voltage is 220 𝑉. If the ratio of number of turns in the primary to secondary is 1:5 What is the input voltage and type of transformer?
Answer: Given,

Voltage on the output side is 44 V and it is a step up transformer.
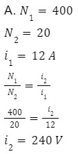
Q 2. A transformer has 400 turns of the primary winding and 20 turns of the secondary winding. Determine the current in secondary winding and type of transformer if primary winding current is 12 A?
Answer:

As N1>N2 It is a step down transformer.
Q 3. Find the resistive power loss in transformer having core resistance of 6 ohm and current is 8 A?
Answer: resistive power loss is given by,

Q 4. In the previous question, heat generated in 5 seconds because of resistive losses?
Answer: Heat generated is given by,

Q 1. Why do the transformers burn and explode?
Answer: The transformers burn and explode when lightning strikes, overloading, corrosion, power surges etc.
Q 2. What are the main parts of a transformer?
Answer: Iron core Primary winding Secondary winding are the main parts of the transformer.
Q 3. Why is the transformer's core laminated?
Answer: To minimise the eddy current losses the transformer core is laminated.
Q 4. How do voltages and currents change in a step up transformer?
Answer: In step up transformer secondary winding has higher turns as compared to primary winding. 21=N2N1=i1i2 From this equation we can deduce that voltage on the secondary coil is higher as compared to primary and current is lower in secondary winding compared to primary.