Call Now
1800-102-2727Measurements play an important role in scientific experiments, research and physical measurements. While measuring, errors are unavoidable. No measurement is perfectly accurate. This leads to deviation from the true value. Understanding, analysing and minimising errors helps improve the accuracy and reliability of results.
Error is the difference between the measured value and the true (or accepted) value. Since the true value is often unknown, repeated measurements are used to estimate it. Errors can arise due to limitations in instruments, human observation, or environmental factors.
Errors are generally categorised into three categories according to their origin.
This error is caused by a faulty instrument or method. It can be further sub-grouped:
These errors vary as they occur irregularly and unpredictably; therefore, they are called random errors. For example, fluctuation in the voltage supply
This error includes the mistakes made by humans while doing the measurements, like recording data incorrectly, using the wrong instruments, or misreading scales. These are generally large errors.
The common ones are:
Absolute error is the difference between the measured value and the true value. It is always positive.
Formula: Absolute Error = Measured Value - True Value
Percentage error expresses the relative error in percentage form.
Formula:

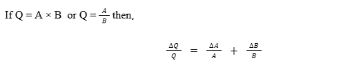
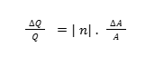
When a result is calculated from two or more measured quantities, the errors in those measurements also combine. The rules for the combination of errors depend on the mathematical operation involved (addition, subtraction, multiplication, division, or powers).
If Q = A B then,
ΔQ = ΔA + ΔB

If Q = An then,

errors cannot be eliminated, but they can be minimised by:
Measurement errors are unavoidable and are caused by faulty instruments, human mistakes, or environmental conditions. Error is the difference between the measured and true values. They are categorised as systematic, random, or gross errors. Errors can be calculated as absolute, relative, or percentage. Errors can't be eliminated, but using precise instruments, proper calibration, repeated measurements, and careful observation, errors can be reduced, and more accurate measurements can be taken.
Q1. What is parallax error?
Parallax error occurs when the observer’s eye is not aligned properly with the scale while reading measurements.
Q2.A student measures the length of a rod as 20.5 cm, but the actual length is 20.0 cm. What is the absolute error?
Here, Measured Value is 20.5 and True Value is 20.0
Absolute Error = Measured Value - True Value
Absolute Error = |20.5 - 20.0| = 0.5 cm
The absolute error for measuring the rod is 0.5 cm.
Q3. If the absolute error in measuring a quantity is 0.2 m, and the true value is 4.0 m, find the relative error.
Here Absolute error is 0.2, and the mean value is 4.0


= 0.05
The relative error in measuring the quantity is 0.05.
Q4. A measured value is 9.8 m/s², and the true value is 10.0 m/s². Calculate the percentage error.
Here measured value is 9.8 and the true value is 10.0
First, we will find the absolute error,
Absolute Error = Measured Value - True Value
= |9.8 − 10.0|
= 0.2
So, the absolute error is 0.2. Then,
The percentage error calculated is 2%