
An LC circuit is a simple electrical circuit. It has two passive elements: a capacitor (C) and an inductor (L) connected together. It is also known as a resonant circuit, tank circuit, or tuned circuit. The circuit is employed in many applications in electronics, including filters, oscillators, and tuners.
The configuration of an LC circuit involves two primary elements: a capacitor (C) and an inductor (L) in a closed loop connected together. The elements may be put in series or parallel. In an LC series circuit, the capacitor and inductor are connected consecutively along a single path so that the same current passes through both of them.
In a parallel LC circuit, the inductor and capacitor are connected across the same two points. Each has its own branch for current to flow. The capacitor stores energy as an electric field. The inductor stores energy as a magnetic field. When connected, energy moves back and forth between them. This exchange creates electrical resonance and simple harmonic motion. As a result, the circuit produces natural oscillations at a specific frequency.
In an LC circuit, the capacitor stores energy as an electric field. The inductor stores energy as a magnetic field. When the capacitor is fully charged, it starts to discharge. This sends current through the inductor. The inductor resists sudden changes in current (Lenz’s Law). It makes the current rise smoothly while storing energy in its magnetic field. When the capacitor is empty, all the energy is in the inductor’s magnetic field. The magnetic field then collapses.
This creates current in the opposite direction. It recharges the capacitor with the opposite polarity. The process repeats again and again. This back-and-forth energy transfer is called LC oscillation.
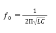
The rate at which the circuit oscillates is referred to as its resonant or natural frequency and is represented by

where:
f0 – resonant frequency (Hertz HZ)
L – inductance (Henrys H)
C – capacitance (farads F)
This equation indicates that the frequency of oscillation is solely a function of the values of L and C. The greater the inductance or capacitance, the lower the resonant frequency, and vice versa.

An LC circuit is made of two parts — an inductor (L) and a capacitor (C). They can be connected in series or in parallel. The circuit works like an oscillator, moving electrical energy back and forth between the two components. The capacitor stores energy as an electric field, and the inductor stores energy as a magnetic field. When the circuit is active, the energy keeps flowing between them, creating natural oscillations. These oscillations happen at a resonant frequency, which depends on the values of L and C.
Q1. What occurs at resonance in an LC circuit?
At resonance, inductive reactance and capacitive reactance cancel each other out, and the circuit is able to oscillate with maximum efficiency.
Q2. Does an LC circuit dissipate energy over time?
In a perfect LC circuit (no resistance), there is no energy loss. In practical circuits, however, there is energy loss and damping of oscillations with time due to resistance.
Q3. Does an LC circuit dissipate energy with time?
In an ideal LC circuit (with no resistance), there is no energy lost. With actual circuits, though, energy is lost due to resistance and the damping of oscillations over time.
JEE Main marks vs rank vs percentile
JEE Advanced Eligibility Criteria
JEE Advanced Chemistry Syllabus
JEE Advanced Registration Dates
Our expert will get in touch with you soon