
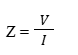
Impedance is the total opposition a circuit offers to alternating current (AC); for DC, it is simply resistance. It is a vector quantity. It is denoted by Z and measured in ohms (Ω).
The magnitude of impedance is the amount of voltage applied across the circuit divided by the maximum amount of current passing through the circuit.


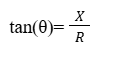
The resistance component is indicated by a vector along the horizontal (x) axis, and the inductive reactance by a vector along the vertical (y) axis. The total impedance is indicated by a vector originating at the start and moving to a point that adds both the resistance (in the x-direction) and the inductive reactance (in the y-direction). To find the electrical impedance in a circuit that contains both resistance and inductive reactance, use the following formula. If capacitive reactance is present in the circuit, its value is added to the reactance before squaring.
Formula -
|Z| = √(R2 + X2)
The impedance can also be represented as a complex number with the resistance as the real part and the reactance as the imaginary part.
Z = R + iX
where,
Base = Resistance (R)
Perpendicular = Reactance (X)
Hypotenuse = Impedance (Z)

The phase angle θ between the voltage and current is given by:

| Component | Impedance (Z) |
|---|---|
| Resistor | Z = R |
| Inductor | Z = jωL |
| Capacitor | ![]() |
Impedance is the sum of opposition provided by an electric circuit to AC. It's the combination of resistance (R), which is against both AC and DC and reactance (X), which is only against AC and is a function of frequency. Impedance is expressed as a complex number Z = R + jX and is measured in ohms (Ω). Resistance is on the x-axis, and reactance on the y-axis, with impedance as the diagonal vector from the origin. The impedance is expressed as |Z| = √(R2 + X2) and the phase angle determines whether or not the current is ahead of or behind the voltage, depending on the reactance type.
Q1. State the difference between resistance and impedance
Resistance opposes both AC and DC and stays constant, while impedance applies only to AC and includes both resistance and frequency-dependent reactance.
Q2. What is reactance?
Reactance is the opposition caused by inductors or capacitors in an AC circuit. It depends on the frequency of the current.
Q3. Why is impedance important in AC circuits?
Impedance helps determine the amount of current that will flow, and it also affects circuit behaviour.
JEE Main marks vs rank vs percentile
JEE Advanced Eligibility Criteria
JEE Advanced Chemistry Syllabus
JEE Advanced Registration Dates
Our expert will get in touch with you soon
