Call Now
1800-102-2727When you rub a plastic rod or glass rod with fur or silk, respectively, the rod attracts a piece of paper, signifying that the rod is charged electrically. Electrostatics is the study of electromagnetic phenomena where the electrical charges are at rest. It is a branch of physics that deals specifically with stationary electrical charges.
Table of Contents:
Electrostatics deals with the properties of slow-moving or stationary electric charges. When the charge is associated with matter, it creates or experiences an electrical and magnetic effect that is known as an electric charge. This phenomenon comes from the forces exerted by the electric charges on each other. However, these induced forces are relatively weak. Electrostatics is described by Coulomb’s law. It deals with the charges that are at rest after static equilibrium is established.
Electric charge is a fundamental property of subatomic particles, which experiences a force when they are contacted with an electromagnetic field. An electric charge is also called an electrostatic charge. There are two types of electric charges. They are positive and negative charges. Positive charges are carried by protons, whereas negative charges are carried by electrons.
If an object’s total charge is zero, then it is neither positive nor negative and considered to be neutral. The electric charge is mentioned as q and measured in coulombs. The SI unit of electric charge is coulomb.
If the object has a positively charged particle, then the number of positive ions is greater than the number of negative ions. It can also be said that the number of protons is greater than the number of electrons.
To bring the positively charged particles to a neutral state, the electrons from the surroundings reach the particle when the protons and electrons numbers get equal.
If the object has a negatively charged particle, then the number of negative ions is greater than the number of positive ions. It can also be said that the number of electrons is greater than the number of protons.
To bring the negatively charged particles to a neutral state, the protons cannot move to reach the particles, and electrons move to other particles around them.
Neutral particles involve an equal number of both protons and electrons. They have protons, neutrons and electrons; however, the number of positive ions or protons is equal to the number of negative ions or electrons.
The substance or materials that allow current to flow through them are called conductors. They also allow heat to be transferred through them. For example, copper wires, metals, etc.
The substance or materials that don’t allow current to flow through them are called insulators. They have tighter electron bonds than conductors; thus, current cannot pass through them. For example, glass, wood, rubber, plastic, etc.
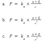
Coulomb’s Law gives an equation of the electric force between the electric charges. The law states that the distance of electrostatic force between two-point charges distance is proportional to the product of the magnitude of charges and is inversely proportional to the square of the distance between these two charges.
The Coulomb’s law equation is given below:


Here,
q = Test charge
Q = Source charge
F = Force
r = Distance between charges
The electrostatic force is referred to as a force of attraction and repulsion between particles present in their electric charges. The electric force between charged bodies is known as the electrostatic force. It is also called Coulomb’s force. There are four basic electrostatic forces. They are:
Electrostatic fields are similar to magnetic fields. The object attracts when its charges have opposite polarity and repel each other when their charges have the same polarity. The flux lines of electrostatic force near two oppositely charged objects are similar to flux lines of magnetic force between and around a pair of opposite magnetic poles. However, the electrostatic and magnetic fields are different.
Q1. Which of the following has more positive ions?
a. Positively charged particles
b. Negatively charged particles
c. Neutral particles
d. Both and b
Ans: a. Positively Charged Particles
If the object has a positively charged particle, then the number of positive ions is greater than the number of negative ions.
Q2. Which of the following is correct about Coulomb law?
Q3. Which of the following conduits both heat and electricity?
a. Conductors
b. Insulators
c. Both a and b
d. None of the above
Ans: a. Conductors
The substance or materials that allow current to flow through them are called conductors. They also allow heat to be transferred through them.
Q1. What are the applications of electrostatics?
Answer: The Electrostatic force is used in the Van De Graaff generator. Due to its static electricity, it demonstrates high voltage. It is also used in inkjet and laser printers and electrostatic painting.
Q2. What are electrons?
Answer: Electrons are one of the three types of subatomic particles. They are small particles with a negative charge.
Q3. Why is electrostatic force a central force?
Answer: An Electrostatic force acts on the line joining two charges is called a central force.