Call Now
1800-102-2727In your childhood, you played with combs and pieces of paper. When you comb your hair a few times and then bring it near the pieces of paper, they attract the comb. This phenomenon is a very basic example of an electric field.
Table of Contents:
An electric field is known to surround an electrically charged particle and exert a force on all other charged particles in the field. It is a vector quantity that relates the force applied to a unit positive test charge at rest at each location in space.
It is denoted by
.
The electric field is the area where the influence of the electric charge is felt. When another electric charge is introduced in this area, the electric field of the previous charge becomes apparent. The electric field will either attract or repel the new charge, depending on the nature of both charges.
If the object is positively charged, then the unit charge experiences a repulsive force pushing it away. The imaginary path along which this unit charge travels is called the line of force.

Image: Positively charged object
If the object is negatively charged, then the unit charge experiences an attractive force pulling it in.

Image: Negatively charged object
The concept of electric field lines is used to define how the electric field appears near an electrically charged particle.
We all know that there are two types of electric charges: positive and negative.
The electric field lines for a positive electric charge are going out of it. The electric field lines for a negative electric charge are going into it. The diagram below represents the electric field lines produced by a positive electric charge.

Image: Electric field lines produced by a positive electric charge
Let us suppose there are two charged particles, Q1 and Q2, separated by a distance of 'r' as shown below in the diagram.
Alt text: Two charges separated by distance
According to Coulomb’s Law, the repelling or attracting force experienced by Q2 due to Q1 is given by the formula:

We can write the magnitude of the Electric field as follows:

The SI units of force and charge are Newton and Coulomb, respectively. So, by this definition, the SI unit of the Electric field stands as N/C (Newton per Coulomb).
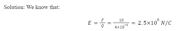
Example 1: An electric force of 10 N is exerted on a 4 μC charge at any point. Determine the electric field at that point.
Example 2: A 2 μC charge is being affected by the electric field of a 4 μC charge kept 0.001 m away. What is the magnitude of the electric field strength of the 4 μC charge?

Example 3: Find the strength of an electric field at a distance of 12 cm with a voltage of 68 V.
Q1. A 3 mC charge is being affected by the electric field of a 5 mC charge which is at a distance of 10 μm. Find the electric field strength exerted by the 5 mC charge.
Q2. Find the strength of an electric field at a distance of 0.248 m and exert a force of 10 N.
Q3. An electric field of 64 N/C affects a charge kept at a distance of 12cm. Find the charge.
Q1. What is the SI unit of the Electric Field?
Answer: N/C (Newton per Coulomb).
Q2. State Coulomb's Law in Electrostatics.
Answer: Coulomb's Law states that: "The magnitude of the electrostatic force of attraction or repulsion between two point charges is directly proportional to the product of their charges and inversely proportional to the square of the distance between them.”
Q3. What is an electric charge?
Answer: Electric charge is the property of a particle due to which it is affected in electric and magnetic fields.