Call Now
1800-102-2727Mean and variance are important measures in statistics. The mean gives the average of a set of numbers. Variance shows how far the numbers spread out from the mean. Let us understand them in detail.
Mean measures the average of a group of values. It is computed by dividing the sum of observations by the total number of observations.
The four types of means are:
A disadvantage of mean as a central tendency metric is that it is very open to outliers. The data set may have values that are significantly greater or less than the rest of the data.

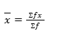
The formula is

Where
x̄ = mean
Σfx = summation of the product of frequency and class
Σf = summation of the frequencies
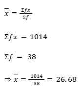
Example: Find the mean weight from the following data.
| Age | Frequency |
|---|---|
| 10 | 9 |
| 11 | 8 |
| 12 | 10 |
| 13 | 7 |
| 14 | 4 |
Solution:

The formula for the mean of grouped data is given as

The mean has the following properties:
Variance is a measure of dispersion. It helps assess how data deviates from its average value. In other words, it is the average of the squared differences between each value and the mean.
Data can be either grouped or ungrouped. Grouped data is organised into class intervals, while ungrouped data comprises individual data points.
Specific Symbols for Variance
Statistical variance is put in two categories depending on your dataset:
The formulas for population variance and sample variance are as follows:
Population Variance:

Here,
σ² represents the population variance
xᵢ represents each observation in the data
μ is the population mean
N is the total number of observations or the population size.
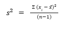
Sample Variance:

Here,
s² is the sample variance
xᵢ represents individual data points
x̄ is the sample mean
n is the sample size or the number of data values in the sample
Example: Calculate the Variance of Test Scores
Suppose four students scored: 70, 75, 80, and 85. To calculate the variance:
Step 1: Calculate the mean (average) of the scores:

Step 2: Calculate the squared differences from the mean:
(70 − 77.5)² = 56.25
(75 − 77.5)² = 6.25
(80 − 77.5)² = 6.25
(85 − 77.5)² = 56.25
Step 3: Take the average of the squared differences:

The variance formulas are:
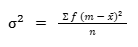
Population Variance for Grouped Data:

Here,
f represents the frequency of each class
x is the midpoint of the class
Sample Variance for Grouped Data:

Example: The marks obtained by 20 students in a test are grouped as follows:
| Marks (Class Interval) | Frequency (f) |
|---|---|
| 0–10 | 2 |
| 10–20 | 3 |
| 20–30 | 5 |
| 30–40 | 6 |
| 40–50 | 4 |
Step 1: Find the midpoints (x) of each class.
| Class Interval | Frequency (f) | Midpoint (x) |
|---|---|---|
| 0–10 | 2 | 5 |
| 10–20 | 3 | 15 |
| 20–30 | 5 | 25 |
| 30–40 | 6 | 35 |
| 40–50 | 4 | 45 |
Step 2: Compute f×x

Step 3: Find squared deviations (x − x̄)² and f(x − x̄)²
| x | f | x − 30.5 | (x − 30.5)² | f(x − 30.5)² |
|---|---|---|---|---|
| 5 | 2 | -25.5 | 650.25 | 1300.5 |
| 15 | 3 | -15.5 | 240.25 | 720.75 |
| 25 | 5 | -5.5 | 30.25 | 151.25 |
| 35 | 6 | 4.5 | 20.25 | 121.5 |
| 45 | 4 | 14.5 | 210.25 | 841.0 |
Mean and variance in statistical calculations are important as they describe central dispersion in a dataset. Mean represents the average (central tendency). On the other hand, the variance quantifies the spread or uncertainty around that average.
Q1. How is the mean related to the mode and the median?
The formula that connects the three is Mode = 3 × Median − 2 × Mean.
Q2. Can variance be negative?
Variance is never negative.