Call Now
1800-102-2727An equation is defined as the combination of alphabets, numbers and operators. A linear equation is a first-degree equation with a maximum power of one on all variables. In a linear equation, the numbers are coefficients and constants. They represent fixed quantities. The alphabets (variables) are symbols that stand for unknown or changing quantities.
Based on the definition of linear equations, understanding linear equations in one variable is simple. These equations have one alphabet or variable.
The standard form of a linear equation in one variable is:
where
x is the variable
a and b will be replaced with numbers
Also, a is a coefficient of variable x
b is a constant term
Examples:
3x + 4 = 2
2x + 9 = 31
The standard form of a linear equation can also be understood with the help of a word problem.
Suppose Sam has 5 oranges. He adds some bananas to them and gives the fruit basket to Tia. The total number of fruits in the basket is 9.
Let the number of bananas be x.
Now, we can represent the situation as a linear equation:
5 + x = 9
Here, 5 represents the oranges, x represents the bananas, and their sum equals the total fruits. To solve for x, we rearrange the equation:
x = 9 − 5
So, Sam added 4 bananas to the basket.
Let us understand through equation 4x + 4 = 20

Hence, the variable will be 2.
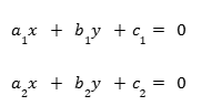
A linear equation in two variables is an equation where two different alphabets (variables) are used, each having a maximum power of one.
The general form is:
ax + by + c = 0
where:
x, y → variables
a, b → coefficients (cannot both be zero)
c → constant term
Example equations:
The standard form of a linear equation in two variables can also be understood with the help of a word problem.
Riya buys 2 pencils and 3 erasers. The total cost is ₹18. What is the cost of each?
Let the cost of a pencil be x, and the cost of an eraser be y.
The situation can be expressed as:
2x + 3y = 18
This is a linear equation in two variables (x and y).
To solve such equations, we usually take two equations together (simultaneous equations).
Let’s take the pair:
2x + 3y = 18 .......... (i)
x + y = 7 ............ (ii)
Step 1: From x + y = 7, express x
x = 7 − y
Step 2: Substitute into 2x + 3y = 18:
2(7 − y) + 3y = 18
14 − 2y + 3y = 18
−2y + 3y = 18 − 14
y = 4
Step 3: Substitute y = 4 into equation (ii)
x+y=7
x + 4 = 7
x = 3
Solution:
(x, y) = (3, 4)
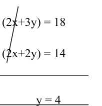
Step 1: Equations are:
2x + 3y = 18 .......... (i)
x + y = 7 ............ (ii)
Step 2: Multiply (ii) by 2:
2x + 2y = 14 .......... (iii)
Step 3: Subtract (iii) from (i):
(2x + 3y) − (2x + 2y) = 18 − 14
y = 4
Step 4: Substitute y = 4 into (ii):
x + 4 = 7
⇒x=3
Solution:
(x,y)=(3,4)
For equations:

The formula is as follows:

Convert equations:
2x + 3y − 18 = 0
x + y − 7 = 0
a₁ = 2, b₁ = 3, c₁ = −18
a₂ = 1, b₂ = 1, c₂ = −7
Applying these to the formula:

Solution:
(x, y) = (3, 4)
Linear equations in one variable are the simplest equations. They are easy to understand and effortlessly solvable through the rearrangement of the numbers. Linear equations in two variables extend the same concept but involve two unknowns. They always represent a straight line on a graph and have infinitely many solutions. To find a unique solution, we solve two equations together using substitution, elimination, or cross-multiplication methods.
Q1. What is the standard form of linear equations in one variable?
The standard form is ax + b = 0, where a ≠ 0.
Q2. How many solutions do linear equations in one variable have?
Exactly one solution.
Q3. What is the graphical representation of a linear equation in two variables?
It is always a straight line on the Cartesian plane.