
Definite integrals play a fundamental role in calculus and have numerous real-world applications. Definite integrals measure the area under the curves. Examining positive and negative areas, and practical applications, you can unravel the visual representation of these mathematical operations.
Table of Contents:
A definite integral is a mathematical expression that represents the net area under a curve over a given interval. It has the form:

where f(x) is a function, a and b are the lower and upper limits of integration, and dx is the infinitesimal width of a subinterval. The symbol ∫ is called the integral sign and indicates that we are adding up infinitely many small areas.
Suppose we have to find the area under a curve y = f(x) from x = a to x=b.

In the above diagram, you can see the visual representation of what was said before. The area between the intervals [a, b] can be considered to be divided into ‘n’ very small rectangles of equal size of Δxi. If the height of these small rectangles is considered to be
then the total area A is given by:

From the definition of the definite integral, if f(x) is a function defined in the interval [a, b] where a<b, then the definite integral is given by:

The area under the curve can be measured accurately if the number of small rectangles is increased to ∞.
So, the geometrical interpretation of the definite integral is that it gives the area under the curve between two specific intervals.



Q1. Find the area bounded by the curves
and 
Solution:
Let
and 
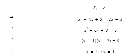
To find the area bounded by these curves, we first need to find the points of intersection which can be found as follows:
Therefore, the area bounded by these curves between the interval [2, 4] is as follows:
Q2. Find the area bounded by the curves y=5x+4, x=1 and x=4
Q3. Find the area of the region bounded by the parabola y=5-2x2, and the lines x=0 and x=1.
Q4. Find the area of the region bounded by the lines y=x, x=-2 and x=2
Q1. Can definite integrals be negative?
Ans: Definite integrals can be negative if the function lies below the x-axis within the given limits of integration. In such cases, the negative value represents the signed area below the curve.
Q2. Is there a geometrical interpretation of indefinite integrals?
Ans:Unlike definite integrals, which have a geometric interpretation as the signed area, indefinite integrals do not have a direct geometrical interpretation. Indefinite integrals represent families of functions that have the same derivative.
Q3. How do I know which function is above and which is below when finding the area between two curves?
Ans:You can plug in a test value between the limits of integration into both functions and compare their outputs. The function with the larger output is above, and the function with the smaller output is below.
JEE Main marks vs rank vs percentile
JEE Advanced Eligibility Criteria
JEE Advanced Chemistry Syllabus
JEE Advanced Registration Dates