Call Now
1800-102-2727Hyperbolas are open mathematical curves that have a plethora of applications in the fields of mathematics, physics, and engineering. They have several distinguishing characteristics and propositions that determine their structure and behaviour. Let's look at the assumptions of a hyperbola, digging into the language and presenting examples to assist us in understanding.
The conic which has an eccentricity larger than 1 is referred to as a hyperbola. It is the location of the point where the distance from a fixed point, known as the focus, and from the fixed line, known as the directrix, is a constant, known as eccentricity.
To put it in simpler terms, the locus of a point moving in a plane is determined by the ratio of the point's distance from a fixed point (focus) to its distance from a fixed line (directrix).
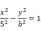
The standard equation for hyperbola is given as

Where

1. Asymptotes
The presence of asymptotes is one of the essential elements of a hyperbola. The hyperbola approaches but never reaches the asymptote. There are two asymptotes of a hyperbola, and both are perpendicular to each other. These asymptotes provide crucial information about the hyperbola's structure and direction.
2. Centre
The centre of the hyperbola is a place equidistant from its two foci. It is situated at the intersection of two asymptotes. The centre serves as a reference point for determining a hyperbola's position and orientation.
3. Foci
Another significant property of a hyperbola is the presence of foci. The foci of a hyperbola are two fixed locations inside the curve. These coordinates are crucial for defining the hyperbola's geometry. The distance between the two foci is the same for every point on the hyperbola. This is known as the focal property of a hyperbola.
4. Transverse Axis
The transverse axis is the line that travels across the hyperbola's centre and intersects both vertices. It is parallel to the asymptotes. The size of the hyperbola is determined by the length of the transverse axis.
5. Vertices
The spots where the hyperbola contacts the transverse axis are known as the vertices. They are equidistant from the centre and are located on the transverse axis. The semi-major axis is the distance between the centre and each vertex.
6. Conjugate Axis
The conjugate axis is perpendicular to the transverse axis line of the centre. The line segment connects the two vertices as well. The form of the hyperbola is determined by the length of the conjugate axis.
7. Co-Vertices
The conjugate axis is intersected by co-vertices, which are hyperbolic points. They are equidistant from the centre and are placed on the conjugate axis. The semi-minor axis specifies the distance between the centre and each co-vertex.
Example 1: Find the equation of a hyperbola with foci at (±3, 0) and vertices at (±5, 0).
Solution:
The centre of the hyperbola is halfway between the foci, which is (0, 0).
The distance between the centre and the vertices equals the length of the transverse axis

The distance between the centre and the foci equals the value of c, which is 3.
Using the hyperbola's equation


To find the value of b, we will use the formula for foci





Since the value of b2 is negative, there would be no real solution. Therefore, there is no hyperbola formed with the provided information.
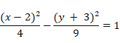
Example 2: Given the equation of a hyperbola as
, find the coordinates of the centre, the equations of the asymptotes, as well as the transverse and conjugate axes.
Solution:

Comparing the equation to the standard form of a hyperbola









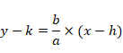
Asymptote equation is given as

Substituting the value of a, b, h and k in the asymptote equation

Example 3: Find the equation of a hyperbola with the centre at (2, 3), transverse axis length 8 and conjugate axis length 6. Also, find the coordinates of the vertices and foci.
Solution:






Q1. Is it possible for a hyperbola to have a vertical transverse axis?
Ans. Yes, a hyperbola can have a vertical transverse axis. It depends on the curve’s direction, according to which a hyperbola will have its transverse axis, which could be vertical or horizontal.
Q2. What is the relationship between eccentricity and hyperbola form?
Ans. Eccentricity and hyperbola form are interrelated terms. The eccentricity is crucial in determining the form of a hyperbola. This is done by dividing the distance between the two foci by the length of the transverse axis of the hyperbola.
Q3. What are the practical uses of hyperbolas?
Ans. Despite being a mathematical term, hyperbola has several applications in other fields of science as well. Determining satellite orbits, building a telescope, and radio wave transmission are some of the key areas of application.