•  
agra,ahmedabad,ajmer,akola,aligarh,ambala,amravati,amritsar,aurangabad,ayodhya,bangalore,bareilly,bathinda,bhagalpur,bhilai,bhiwani,bhopal,bhubaneswar,bikaner,bilaspur,bokaro,chandigarh,chennai,coimbatore,cuttack,dehradun,delhi ncr,dhanbad,dibrugarh,durgapur,faridabad,ferozpur,gandhinagar,gaya,ghaziabad,goa,gorakhpur,greater noida,gurugram,guwahati,gwalior,haldwani,haridwar,hisar,hyderabad,indore,jabalpur,jaipur,jalandhar,jammu,jamshedpur,jhansi,jodhpur,jorhat,kaithal,kanpur,karimnagar,karnal,kashipur,khammam,kharagpur,kochi,kolhapur,kolkata,kota,kottayam,kozhikode,kurnool,kurukshetra,latur,lucknow,ludhiana,madurai,mangaluru,mathura,meerut,moradabad,mumbai,muzaffarpur,mysore,nagpur,nanded,narnaul,nashik,nellore,noida,palwal,panchkula,panipat,pathankot,patiala,patna,prayagraj,puducherry,pune,raipur,rajahmundry,ranchi,rewa,rewari,rohtak,rudrapur,saharanpur,salem,secunderabad,silchar,siliguri,sirsa,solapur,sri-ganganagar,srinagar,surat,thrissur,tinsukia,tiruchirapalli,tirupati,trivandrum,udaipur,udhampur,ujjain,vadodara,vapi,varanasi,vellore,vijayawada,visakhapatnam,warangal,yamuna-nagar

Equation of Tangent to Ellipse

Equation of Tangent to Ellipse

Imagine a painter creating beautiful artwork on a canvas like an ellipse. Suppose you have a point on that ellipse, and you wonder how you can draw a straight line (tangent) that touches the ellipse at that point. This article will explore the Equation of Tangent to Ellipse, which is crucial in competitive exams. Let's delve into this topic to understand it better.

Table of Contents:

What is the Equation of Tangent to Ellipse?

The term "Equation of Tangent to Ellipse" describes a mathematical formula that enables one to determine the equation of a straight line (tangent) that intersects an ellipse at a particular point. There is a line tangent that is perpendicular to the radius vector travelling from the centre to any point on the ellipse. This tangent can be made by cutting a cone at a specific angle.

Derivation of the Equation

A methodical strategy is used to identify the equation of the tangent to an ellipse at a certain location. An ellipse with a centre at (0, 0) has the standard form equation as follows:

image

Where 'a' represents the semi-major axis and 'b' represents the semi-minor axis of the ellipse.

Step 1: Implicit Differentiation

We start by differentiating the equation of the ellipse with respect to 'x' to find image

Remember to treat 'y' as a function of 'x':

image

Using the chain rule and simplifying, we get the following:

image

Simplifying further, we have:

image

Step 2: Finding the Slope

The equation for image that was discovered in step one is then changed to include the coordinates of the provided point (x0, y0). This will provide us with the tangent's slope at that specific point:

image

Step 3: Point-Slope Form

We now know the coordinates of the point (x0, y0) as well as the slope of the tangent. The equation of the tangent can be written as follows using the point-slope form of the equation of a straight line:

image

Where 'm' represents the slope obtained in Step 2.

Step 4: Simplifying the Equation

The final equation of the tangent to the ellipse can be derived by simplifying the equation obtained in Step 3. In order to do this, the equation must be rearranged to be expressed in a standard form, such as Ax + By + C = 0.

Let's substitute the value of 'm' from Step 2 into the equation from Step 3 and simplify:image

image

This equation represents the tangent to the ellipse at the given point (x0, y0).

You must adjust the equation in accordance by taking into account the translations in the x and y directions if the ellipse's centre is not located at the origin.

We may analyse the behaviour of tangents and further investigate the characteristics of ellipses by comprehending the origin of the equation of the tangent to an ellipse.

Real-Life Examples

Satellite Orbit: Spacecraft frequently orbit celestial bodies like the Earth in elliptical orbits in satellite navigation and control systems. The satellite's velocity and direction at a particular position can be calculated by engineers using the Equation of Tangent to Ellipse, leading to precise deployment and manoeuvring.

Optics and lens design: Ellipses are frequently used in optics to mimic the form of a lens. The direction of light beams as they pass through the lens surface is calculated using the Equation of Tangent to Ellipse. When creating lenses for numerous pieces of equipment, like cameras, microscopes, and telescopes, this knowledge is necessary.

The Movement of Celestial Bodies: Ellipse-shaped trajectories are frequently used to simulate the motions of astronomical objects like comets and asteroids. Scientists can examine the velocities and directions of these bodies at particular moments using the Equation of Tangent to Ellipse, which helps them forecast their future courses and potential interactions with other celestial objects.

Design of Roads and Highways: Ellipses are frequently used in civil engineering to represent bends on roads and highways. The correct curvature and alignment of these curves can be determined using the Equation of Tangent to Ellipse, which allows engineers to compute these curves' curvature and alignment. Cars can drive safely and comfortably because of this.

Architectural Design: Ellipse models can be used to represent architectural features like domes and arches. The orientation and support locations of these curved constructions are determined using the Equation of Tangent to Ellipse, which helps architects and structural engineers ensure their stability and aesthetic appeal.

Solved Examples

Example 1: Consider the ellipse given by the equation image Find the Equation of Tangent to the ellipse at the point (3, 4).

Solution: To find the Equation of Tangent to the ellipse, we follow these steps:

Differentiate the equation of the ellipse implicitly with respect to 'x' to obtain image

Substitute the given point (3, 4) into image to calculate the slope (m) of the tangent.

Use the point-slope form of the equation of a straight line, y - y0 = m(x - x0), with the slope and given point.

Simplify the equation to obtain the final Equation of Tangent.

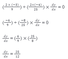
Step 1: Differentiating the ellipse equation:

image

Differentiating implicitly with respect to 'x':

image

Step 2: Substituting the given point:

image

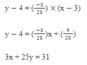
Step 3: Using the point-slope form:

image

Therefore, the Equation of Tangent to the ellipse at the point (3, 4) is 3x + 25y = 31.

Example 2: Consider the ellipse given by the equation image Find the Equation of Tangent to the ellipse at the point (4, 3).

Solution: Following the same steps as in Example 1:

Step 1: Differentiating the ellipse equation:

image

Differentiating implicitly with respect to 'x':

image

Step 2: Substituting the given point:

image

Step 3: Using the point-slope form:

image

Therefore, the Equation of Tangent to the ellipse at the point (4, 3) is 3x + 8y = 21.

Example 3: Consider the ellipse given by the equation image Find the Equation of Tangent to the ellipse at the point (-3, -4).

Solution: Following the same steps as in Example 1:

Step 1: Differentiating the ellipse equation:

image

Differentiating implicitly with respect to 'x':

image

Step 2: Substituting the given point:

image

Step 3: Using the point-slope form:

image

The Equation of Tangent to the ellipse at the point (-3, -4) is 25x - 12y = -175.

Did you know?

Parametric equations can also be used to create the Equation of Tangent to Ellipse. The slope of the tangent can be calculated, leading to the equation of the tangent line, by parameterising the elliptic equation and finding the derivatives of the parametric equations.

It is possible to expand the Equation of Tangent to Ellipse to include ellipses that are not perpendicular to the coordinate axes. In these situations, the equation becomes more challenging since rotation matrices and other variables are required to take the orientation of the ellipse into account.

Calculus and optimisation are both related to the Equation of Tangent to Ellipse. Mathematicians and scientists have developed methods to solve optimisation issues involving ellipses, such as finding the shortest path between a point and an ellipse, by examining the properties of tangents to ellipses.

Practice Problems:

Q1. Consider the ellipse given by the equation image Find the Equation of Tangent to the ellipse at the point (3, 4).

A) 3x + 4y = 25
B) 3x - 4y = 7
C) 3x - 4y = 25
D) 3x + 4y = 7

Answer: C) 3x - 4y = 25

Explanation: To find the Equation of Tangent to the ellipse at the point (3, 4), we follow these steps:

1. Differentiate the equation of the ellipse implicitly with respect to 'x' to obtain image

2. Substitute the given point (3, 4) into image to calculate the slope (m) of the tangent.

3. Use the point-slope form of the equation of a straight line, y - y0 = m(x - x0), with the slope and given point.

4. Simplify the equation to obtain the final Equation of Tangent.

In this case, the Equation of Tangent is 3x - 4y = 25.

Q2. Consider the ellipse given by the equation image Find the Equation of Tangent to the ellipse at the point (-4, 3).

A) 4x + 3y = -25
B) 4x - 3y = 25
C) 4x + 3y = 25
D) 4x - 3y = -25

Answer: B) 4x - 3y = 25

Explanation: Following the steps mentioned earlier, we can find the Equation of Tangent to the ellipse at the given point (-4, 3).

After calculations, we arrive at equation 4x - 3y = 25 as the Equation of Tangent.

Q3. Consider the ellipse given by the equation image Find the Equation of Tangent to the ellipse at the point (5, -3).

A) 5x + 3y = 40
B) 5x - 3y = 40
C) 5x + 3y = -40
D) 5x - 3y = -40

Answer: A) 5x + 3y = 40

Explanation: Applying the same approach, we can determine the Equation of Tangent to the ellipse at the point (5, -3).

Upon simplification, the Equation of Tangent is 5x + 3y = 40.

Frequently Asked Questions:

Q1. Is it possible to find tangents for additional conic sections using the Equation of Tangent to Ellipse?
Answer:
No, the Equation of Tangent to Ellipse was created exclusively for ellipses and might not apply to parabolas or hyperbolas.

Q2. Is there any practical application of the Tangent Ellipse Equation?
Answer: 
Yes! This equation is used in many disciplines where ellipses and tangents are significant, including engineering, physics, and astronomy.

Q3. Can the point of contact between a line and an ellipse be determined using the Equation of Tangent to Ellipse?
Answer: 
No, the equation is only given at one point on the ellipse by the tangent line to the ellipse. More calculations are needed to determine the point of contact.

NEET Related Links

NEET Exam 

NEET  Exam Dates

NEET  Exam pattern

NEET  Syllabus

NEET  Eligibility Criteria

NEET  Application

NEET UG Counselling

NEET FAQ

NEET UG Result

NEET  Cut Off

JEE MAIN Related Links

JEE Main 

JEE Main Rank Predictor 

JEE Main College Predictor 

JEE Main  Exam Dates

JEE Main  Exam pattern

JEE Main  Application

JEE Main  Eligibility Criteria

JEE Main  Syllabus

JEE Main  Physics Syllabus

JEE Main  Maths Syllabus

JEE Main  Chemistry Syllabus

JEE Main  Admit Card

JEE Main  Counselling

JEE Main marks vs rank vs percentile

JEE Advanced Related Links

JEE Advanced  Exam Dates

JEE Advanced  Application

JEE Advanced  Eligibility Criteria

JEE Advanced  Syllabus

JEE Advanced  Maths Syllabus

JEE Advanced  Physics Syllabus

JEE Advanced  Chemistry Syllabus

JEE Advanced Exam Result

JEE Advanced Exam Dates

JEE Advanced Registration Dates

CUET Related Links

CUET  Eligibility Criteria

CUET  Admit Card

CUET  Exam Pattern

CUET  FAQs

CUET  Counselling

CUET  Syllabus

CUET  Result

CUET  Answer Key

CUET  Preparation

CUET CUTOFF

CUET  Application Form

Important Topics

Talk to Our Expert Request Call Back
Resend OTP Timer =
By submitting up, I agree to receive all the Whatsapp communication on my registered number and Aakash terms and conditions and privacy policy