•  
agra,ahmedabad,ajmer,akola,aligarh,ambala,amravati,amritsar,aurangabad,ayodhya,bangalore,bareilly,bathinda,bhagalpur,bhilai,bhiwani,bhopal,bhubaneswar,bikaner,bilaspur,bokaro,chandigarh,chennai,coimbatore,cuttack,dehradun,delhi ncr,dhanbad,dibrugarh,durgapur,faridabad,ferozpur,gandhinagar,gaya,ghaziabad,goa,gorakhpur,greater noida,gurugram,guwahati,gwalior,haldwani,haridwar,hisar,hyderabad,indore,jabalpur,jaipur,jalandhar,jammu,jamshedpur,jhansi,jodhpur,jorhat,kaithal,kanpur,karimnagar,karnal,kashipur,khammam,kharagpur,kochi,kolhapur,kolkata,kota,kottayam,kozhikode,kurnool,kurukshetra,latur,lucknow,ludhiana,madurai,mangaluru,mathura,meerut,moradabad,mumbai,muzaffarpur,mysore,nagpur,nanded,narnaul,nashik,nellore,noida,palwal,panchkula,panipat,pathankot,patiala,patna,prayagraj,puducherry,pune,raipur,rajahmundry,ranchi,rewa,rewari,rohtak,rudrapur,saharanpur,salem,secunderabad,silchar,siliguri,sirsa,solapur,sri-ganganagar,srinagar,surat,thrissur,tinsukia,tiruchirapalli,tirupati,trivandrum,udaipur,udhampur,ujjain,vadodara,vapi,varanasi,vellore,vijayawada,visakhapatnam,warangal,yamuna-nagar

Xenon Fluoride Compounds- Introduction, Preparation, Chemical Properties, Structure, Practice Problems and FAQs

Xenon Fluoride Compounds- Introduction, Preparation, Chemical Properties, Structure, Practice Problems and FAQs

How do we see when the sun starts setting in the evening and it is dark? The answer is simple, we just switch on the lights, right! But do you know in these bulbs which give us light are filled up with some gas? Can you answer which gas we are talking about? It is none other than argon which is one of the important elements of the periodic table. Now you know the name of the element, can you name the group to which it belongs? Argon belongs to a group in the periodic table where elements are inert gases or noble gases. As the name suggests, inert gases are stable elements that do not react with other elements to form compounds. But let me tell you, this is not true in the case of all the noble gases. There is one noble gas that does form compounds when allowed to react with certain elements. Though the number of compounds formed by this inert gas is very limited still it is important for us to know. Let us go through some of the important compounds formed by the inert gas named xenon.

Table of Contents

  • Introduction to Noble Gases
  • Preparation of Xenon Fluoride Compounds 
  • Chemical Properties of Xenon Fluoride Compounds
  • Chemical Structures of Xenon Fluoride Compounds
  • Practice problems
  • Frequently asked questions-FAQs

Introduction to Noble Gases

Noble gases belong to group-18 of the modern periodic table. It includes elements like helium (He), neon (Ne), argon (Ar), krypton (Kr), xenon (Xe) and radon (Rn). Radon is radioactive in nature and other elements of the noble gas family are naturally occurring and helium element is found in maximum percentage in nature. 

The elements present in this group have a stable electronic configuration (valence shell configuration: ns2 np6 ) due to which the ionisation enthalpy of the elements belonging to this group is relatively higher than other elements present in the same period. So the name of the elements which belong to this family is given as a noble gas or inert gas. 

But in the year 1962, Neil Bartlett prepared the compound dioxygenyl hexafluoroplatinate (O2PtF6) by the reaction of oxygen and platinum hexafluoride. He showed that it consists of O2+ and PtF6-. He thought that similar compounds can be prepared for xenon as the ionisation potential of xenon is close to the ionisation potential of oxygen. Therefore the first compound of xenon, xenon hexafluoroplatinate was formed with the formula (XePtF6) following this other compounds of xenon were also discovered like XeF2, XeF4, XeF6 etc. 

Preparation of Xenon Fluoride Compounds

Preparation of Xenon Difluoride: Xenon difluoride is prepared by heating a mixture of xenon (Xe) and fluorine (F2) in the ratio of 2:1 at a temperature of about 400 ℃ in a nickel sealed vessels. 

image

Xenon difluoride compounds can also be prepared on the reaction of dioxygen fluoride with xenon at a temperature of approximately 120 ℃. 

image

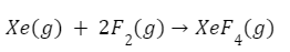
Preparation of xenon tetrafluoride: Xenon tetrafluoride is prepared by heating a mixture of xenon (Xe) and fluorine (F2) in the ratio of 1:5 at a temperature of about 400 ℃ at 6 atm pressure in a nickel sealed vessel. 

image

Preparation of xenon hexafluoride: Xenon hexafluoride is prepared by heating a mixture of xenon (Xe) and fluorine (F2) in the ratio of 1:20 at a temperature of about 300 ℃ at approx 50 atm pressure in a nickel sealed vessel. 

image

Xenon hexafluoride compound can also be prepared from the reaction of dioxygen fluoride with xenon tetrafluoride at a very low temperature.

image

Chemical Properties of Xenon Fluoride Compounds

Chemical properties of xenon difluoride

  • Reaction with lewis acids: Xenon difluoride which is a lewis base reacts with the Lewis acid like IF5, SbF5, PF5 etc to form adduct compounds. 

image

  • Oxidizing power of xenon difluoride: Xenon difluoride act as an oxidising agent and oxidises molecules like hydrogen, hydrochloric acid, iodine etc and itself gets reduced to atomic form. 

image

  • Reaction with water: Xenon difluoride get hydrolysed rapidly in aqueous alkaline medium to get reduced into atomic xenon along with other products which include hydrogen fluoride and oxygen gas is released. 

image

Chemical properties of xenon tetrafluoride

  • Reaction with lewis acids: Xenon tetrafluoride which is a lewis base reacts with the lewis acid-like IF5, SbF5, PF5 etc to form additive compounds. 

image

  • Oxidizing power of xenon fluoride: Xenon tetrafluoride act as an oxidising agent and oxidises molecules like hydrogen, hydrochloric acid, boron trichloride etc and itself get reduced to atomic form. 

image

  • Reaction with water: Xenon tetrafluoride gets hydrolysed completely to disproportionate into the explosive compound of xenon trioxide (XeO3) and atomic xenon along with with other products which include hydrogen fluoride and oxygen gas is released. This reaction is known as the disproportionation reaction.

image

When xenon tetrafluoride is partially hydrolysed it produces xenon oxydifluoride along with the hydrogen fluoride molecule. 

image

  • Heating with excess xenon: When xenon tetrafluoride is heated with excess xenon it results in the formation of xenon difluoride molecules. 

image

Chemical properties of xenon hexafluoride

  • Reaction with lewis acid: Xenon hexafluoride which is a lewis base reacts with the lewis acid-like IF5, SbF5, BF3 etc to form adduct compounds. 

image

  • Oxidizing power of xenon hexafluoride: Xenon hexafluoride acts as an oxidising agent and oxidises molecules like hydrogen, hydrochloric acid, ammonia etc and itself get reduced to atomic form. 

image

  • Reaction with water: Xenon hexafluoride gets hydrolysed completely to form colourless crystal compound of xenon trioxide (XeO3) which is explosive in nature along with other product which includes hydrogen fluoride.

image

When xenon hexafluoride is partially hydrolysed it produces xenon oxyfluorides compounds which when allowed to hydrolysed further produces explosive colourless crystal of xenon trioxide (XeO3).

image

image

Structures of xenon fluoride compounds

Xenon difluoride (XeF2)

  • During the formation of xenon difluoride molecule the electrons of xenon move to the 1st excited state (i.e., one electron is transferred to the vacant 5d orbital from 5p orbital ) such that there are 2 unpaired electrons and when two fluorine atoms share electrons that result in the formation of XeF2 molecule. 
  • The hybridisation of the compound is sp3d. The mixing of one s orbital, three p orbitals and one d-orbital take place to form five hybrid orbitals of almost similar energy. 
  • Geometry of the molecule is trigonal bipyramidal as there are five hybrid orbitals formed during the intermixing of atomic orbitals. The shape of the molecule is linear as only bonded pair is included in determining the structure. According to the bent’s rule both the fluorine, atom present is attached along the same plane in an axial bond.
  • The three lone pairs of electrons will be aligned along with equatorial positions because according to the bent’s rule lone pair will remain in that position where there is more percentage s-character. 

Xenon tetrafluoride (XeF4)

  • During the formation of xenon tetrafluoride molecule the electrons of xenon move to the 1st excited state (i.e., two electrons are transferred to the vacant 5d orbitals from 5p orbitals ) such that there are 4 unpaired electrons and when four fluorine atoms share electrons that result in the formation of XeF4 molecule. 
  • The hybridisation of the compound is sp3d2. The mixing of one s orbital, three p orbitals and two d-orbitals take place to form six hybrid orbitals of almost similar energy. 
  • Geometry of the molecule is octahedral as there are six hybrid orbitals formed during the intermixing of atomic orbitals. The shape of the molecule is square planar as only a bonded pair is included in determining the structure.

     

Xenon hexafluoride (XeF6)

  • During the formation of xenon hexafluoride molecule the electrons of xenon move to the 3rd excited state ( i.e., three electrons are transferred to the vacant 5d orbitals from 5p orbitals) such that there are 6 unpaired electrons and when six fluorine atom share electrons it results in the formation of XeF6 molecule. 
  • The hybridisation of the compound is sp3d3. The mixing of one s orbital, three p orbitals and three d-orbitals takes place to form seven hybrid orbitals of almost similar energy. 
  • The shape of the molecule is distorted octahedral as only bonded pairs are included in determining the structure. All the fluorine atoms present are attached to the hybrid orbitals present, lone pair is placed on a xenon atom and due to the lone pair-bond pair repulsion shape of the molecule gets distorted from the actual octahedral structure. 
  • Geometry of the molecule is pentagonal bipyramidal as there are seven hybrid orbitals formed during the intermixing of an atomic orbital. 

To summarise the structures of xenon fluoride compounds: 

Formula of compound

Hybridisation

Geometrical structure

Shape of the molecule

XeF2

sp3d

Trigonal bipyramidal

Linear shape

XeF4

sp3d2

Octahedral 

Square planar 

XeF6

sp3d3

Pentagonal bipyramidal

Distorted octahedral 

Recommended video: 

Practice problems

Q1. Select the correct option for the product that can be formed on complete hydrolysis of xenon hexafluoride. 

A. XeOF4
B. XeO3
C. HF
D. Both A and B

Answer: (B)

Solution: Xenon hexafluoride gets hydrolysed completely to form a colourless crystal compound of xenon trioxide (XeO3) which is explosive in nature along with other product which includes hydrogen fluoride.

image

Q2. Select the option which is correctly matched with the geometry of the molecule.

A. XeF6(Octahedral)
B. XeF4(Trigonal planar)
C. XeF2(trigonal bipyramidal)
D. XeF6(distorted octahedral)

Answer: (C)

Solution: Xenon hexafluoride (XeF6 ) molecule is sp3d3 hybridised, XeF4 is sp3d2 hybridised and XeF2 is sp3dhybridised. Using valence shell electron pair repulsion theory and valence bond theory we know that sp3d3 will have pentagonal bipyramidal geometry, sp3d3 will have octahedral geometry and sp3dwill have trigonal bipyramidal geometry. Therefore, option (C) is the correct answer.

Q3. Select the correct option to determine the product formed in the given reaction.

XeF2(g)+HCl(g)→ _________ +HF(g)+Cl2(g)

A. XeCl3
B. Xe
C. F2
D. XeF4

Answer: (B)

Solution: Xenon difluoride act as an oxidising agent and oxidises molecules like hydrogen, hydrochloric acid, iodine etc and itself gets reduced to atomic form. 

image

Q4. Which of the following is the correct option for the number of lone pairs and number of bond pairs of electrons present in a XeF4 molecule?

A. 4-lone pairs and 4-bond pairs
B. 14-lone pairs and 4-bond pairs
C. 12-lone pairs and 2-bond pairs
D. 2-lone pairs and 4-bond pairs

Answer: (B)

Solution: We know that bond pairs represent the pair of electrons which are shared between the atoms to form covalent bonds. There are four bond pairs in the case of XeF4 molecule, as four Xe-F bonds are present in the structure of this molecule. In the case of lone pair, there will be 14 unshared pairs of electrons that are present in which three unpaired electrons will be present on each fluorine atom (as there are four fluorine atoms, so, that sums up to a total of 12 unshared pairs of the electrons) and two lone pairs are present for xenon atom. Hence, there are 14 lone pairs and 4 bond pairs in XeF4 molecule. 

Frequently Asked Questions-FAQs

Q1. What is the nature of the compounds formed by the reaction of xenon and fluorine molecules? 
Answer: Xenon is a noble gas element which has eight electrons in the outermost shell and when the electrons are excited it results in the formation of compounds like XeF2, XeF4 etc. and these types of compounds between two non-metal (i.e., xenon and fluorine) are formed due to mutual sharing of electrons and therefore result in the formation of the covalent compounds.

Q2. Why the elements like helium and neon do not form compounds though they belong to the same group in which xenon is present?
Answer: Elements like helium and neon have small sizes and due to this electrons are held closer to the nucleus with a higher effective nuclear charge and to remove valence electrons for sharing purposes, a large amount of energy is required and therefore it is not feasible to supply that amount of energy and not possible for helium and neon to form bonds.

Q3. Why xenon does not form compounds which contain an odd number of fluorine atoms like XeF3 or XeF5 molecules?
Answer: Xenon is an inert gas which contains 8 electrons in the valence shell and these electrons are paired in the ground state. When the electrons are excited in the vacant d-orbitals to form compounds it generates the unpaired electrons in an even number therefore even number of atoms can be attached to form compounds and result in the formation of molecules like XeF2,XeF2 & XeF6 etc. 

Q4. Why xenon can form compounds only with fluorine and oxygen atoms? 
Answer: Xenon is a noble gas and cannot form a compound in the ground state. To form a compound it requires energy so that the electrons get excited in the vacant d-orbitals and due to this excitation of the electrons the unpaired electrons are generated in the molecule which gets paired up with the electrons of other atoms to form bonds. Xenon can form a bond only with fluorine or oxygen atoms because fluorine and oxygen are more electronegative elements and provide enough excitation energy for electrons to get excited and to get unpaired.

Related topics

Dinitrogen

Group-17 elements

Chemical properties of group-13

Fluorine

Xenon Fluoride compounds Preparation

Xenon Fluoride compounds Chemical reactions

NEET Related Links

NEET Exam 

NEET  Exam Dates

NEET  Exam pattern

NEET  Syllabus

NEET  Eligibility Criteria

NEET  Application

NEET UG Counselling

NEET FAQ

NEET UG Result

NEET  Cut Off

JEE MAIN Related Links

JEE Main 

JEE Main Rank Predictor 

JEE Main College Predictor 

JEE Main  Exam Dates

JEE Main  Exam pattern

JEE Main  Application

JEE Main  Eligibility Criteria

JEE Main  Syllabus

JEE Main  Physics Syllabus

JEE Main  Maths Syllabus

JEE Main  Chemistry Syllabus

JEE Main  Admit Card

JEE Main  Counselling

JEE Main marks vs rank vs percentile

JEE Advanced Related Links

JEE Advanced  Exam Dates

JEE Advanced  Application

JEE Advanced  Eligibility Criteria

JEE Advanced  Syllabus

JEE Advanced  Maths Syllabus

JEE Advanced  Physics Syllabus

JEE Advanced  Chemistry Syllabus

JEE Advanced Exam Result

JEE Advanced Exam Dates

JEE Advanced Registration Dates

CUET Related Links

CUET  Eligibility Criteria

CUET  Admit Card

CUET  Exam Pattern

CUET  FAQs

CUET  Counselling

CUET  Syllabus

CUET  Result

CUET  Answer Key

CUET  Preparation

CUET CUTOFF

CUET  Application Form

Important Topics

Talk to our expert
Resend OTP Timer =
By submitting up, I agree to receive all the Whatsapp communication on my registered number and Aakash terms and conditions and privacy policy