Call Now
1800-102-2727Let’s consider a regular weekday where you need to wake up early, have breakfast, get ready for school, take your classes at the school, come back home, do your homework, play in the evening, have dinner and then sleep in the night. Do you think, you can follow exactly the same routine? Well, that’s quite a difficult task to achieve. So, how do you make your day perfect? Well, you do corrections in your life because ideal scenarios do not exist. For the real scenarios, you have to make corrections in the ideal cases.
A similar sort of correction was done in the ideal gas equation as it was seen that almost all the gases deviate from the ideal behaviour. This correction in the ideal gas equation was done by Johannes Diderik van der Waals in 1873 and derived an equation known as the van der Waals equation which can be applied to real gases. So let’s dig deeper into the concept and understand how van der Waal derived this equation which works pretty well in the case of real gases.
Topics of content
Van der Waal attributed the deviation of real gases from ideal behaviour to two wrong assumptions of the kinetic theory of gas.
Therefore, the ideal gas equation (PV=nRT) is derived from the kinetic theory which does not hold good for real gases. Van der Waal suggested the correction in volume and pressure factor in the ideal gas equation in order to make it applicable for real gases.
Van der Waal assumed that molecules of real gas are rigid spherical particles which possess a definite volume. The volume of a real gas is, therefore, the ideal volume minus the volume occupied by the gas molecules.
The volume in the ideal gas equation can be corrected as (V-b).
Here,
“b" is the excluded volume of molecules per mole of gas
“V” is the volume of the gas (volume of the container)
For “n” moles of the gas the corrected volume will be (V-nb).
Note: “b" is also known as the excluded volume which is constant and the value of "b" is different for different gases.

Let us consider,
Two molecules of radius (r) colliding with each other such that both molecules cannot approach each other further and other molecules of the gas present in the container also can not approach the excluded volume which is shown in the figure above. So, we may treat each molecule as being associated with a forbidden space, where centres of no other molecule can come. This forbidden space is known as excluded volume or simply it can be said that volume that is not available for free movement is called excluded volume.
Videal=Vcontainer-Vexcluded
Volume of a molecule of gas (sphere) = ![]()
Radius of a molecule considering both the molecules together in contact will be "2r”.
Putting the value of the radius in the equation (i) we get,
Excluded volume for a pair of molecules (spherical space) = ![]()
Excluded volume for one molecule = ![]()
Excluded volume per molecule = 4 Volume of one molecule
Excluded volume per mole = 4 Volume of one molecule NA=b
Excluded volume for 'n' moles of gas (Vexcluded) =nb
(Where NA is the Avogadro’s number)
Excluding this forbidden space volume, the free volume available is (V-nb).
i.e., Videal=Vcontainer-nb
or Videal=V-nb
A molecule on the interior of gas is attracted by the interior molecules from all sides. These attractive forces cancel out each other.

But the molecule which is about to strike the wall is attracted by the molecules from one side only and experiences an inward pull. Therefore, it strikes the wall of the container with less force and hence, the actual pressure of the gas will be lesser than the ideal pressure.

So,
Actual pressure of the gas (Pi)=P-p
P=Pi + p.....(iv)
Where
“P” determines the ideal pressure of the gas.
“p” is the decreased pressure considering the attraction force present between the molecules. .
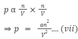
“p” is determined by the force of attraction between the molecules striking the wall of the container and the molecules pulling them inward. The net force of attraction is therefore proportional to the concentration of molecules striking the wall and the concentration of molecules pulling them inward.
p C1 X C2.....(v)
Here,
“p” is the decreased pressure of the gas.
“C1" represent the concentration of molecules striking the wall
“C2" represent the concentration of molecules pulling them inward
We know concentration = ![]()
Putting the value of equation (vi) in the equation (v), we get;

Here,
“n” represents the no. of moles of gas
“a” represents the proportionality constant of a gas
From equations (vii) and (iv), we get;
Ideal pressure of the gas ![]()
Therefore, the ideal pressure of the gas is always more than the actual pressure of the gas.
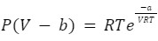
We know for an ideal gas,
PidealVideal=nRT
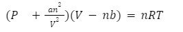
Substituting the value of corrected pressure and corrected volume terms in the ideal gas equation, we get;
![]()
Here,
“Pi” determines the actual pressure of the gas
“b" is the excluded volume of molecules per mole of a gas
“V” is the volume of the gas (volume of the container)
“n” represents the number of moles of gas
“T” represents the absolute temperature of the gas
“R” represents the universal gas constant
“a” represents the proportionality constant
The above equation is known as the Van der Waals gas equation. The proportionality constant "a" and “b" are the characteristics of each gas.
From the equation (vii)
"a" can be written as:

If the pressure is expressed in the atmosphere (atm) and volume in litres (L), Then,
![]()
Therefore, unit of "a" will be atm L2mol-2.
“nb” represents the excluded volume for n moles of gas, If the volume is in litres (L) then,

Therefore, a unit of "b" will be L mol-1.
Significance of van der Waals constant (a)
“a” represents the attraction forces present within the molecules. The higher the value of “a”, more will be the forces of attraction between gas molecules.
Attraction forces depend upon the following two factors:
For example: H2O has a higher value of “a” as compared with N2 gas as water is a polar molecule and H2O molecules have stronger dipole-dipole interactions (Hydrogen bonding) as compared to weak London dispersion forces among N2 molecules as N2 is a non-polar molecule.

For example: O2(g) has a higher value of “a” as compared with N2(g) because molecular mass of O2(g) is more than N2(g) i.e., London dispersion forces are stronger in case of O2 than in N2.
Significance of van der Waal constant (b)
“b” represents the incompressible volume of a gas molecule. It is also known as the excluded volume. Generally, the higher the value of "b" , the larger the volume of the molecules.
Limitations of van der Waals Equation
Van der Waals equation satisfactorily explains the general behaviour of real gases over a wide range of temperature and pressure. But it fails to give exact agreement with experimental data at very high pressure and low temperature. In 1899, Dieterici proposed a modified van der Waals equation known as the Dieterici equation which is represented as For 1 mole of gas,

Here, a and b have the same significance as the van der Waals equation.
Recommended video link: https://www.youtube.com/watch?v=3QcH9-rEB_c
Q 1. Select the correct option for the van der Waals constant “b” in the van der Waals equation.
A. It is the excluded volume.
B. It has a unit m3mol-1.
C. It represents the attraction force between the molecules.
D. Both A and B
Answer: D
“b” represents the excluded volume. Excluded volume is not equal to the actual volume of gas molecules but it is four times the actual volume of the molecules.
![]()
In S.I system unit of "b" is m3mol-1.
Q 2. The value of van der Waals constant "a" in van der Waals equation will be maximum for_____gas.
A. NH3
B. O2
C. N2
D. All the gas will have the same value of “a"
Answer: A
“a” represents the attraction forces between the molecules. Higher the polarity of the molecule, more will be the forces of attraction and therefore, will have a higher value of “a”.
Among NH3, O2 and N2, NH3 has the highest value of “a” because between NH3 molecules there are strong dipole-dipole interactions whereas in case of O2 and N2 intermolecular interactions are weak London dispersion forces
Q 3. The van der Waals equation for 0.5 mol of gas will be represented as:


Answer: B
We know that van der Waals equation is represented as:

According to the given question, the value of n is 0.5 mol.
Putting the value of a number of moles in the above equation, we get;
![]()
Solving the above equation, we get;

Above Equation can be modified as
![]()
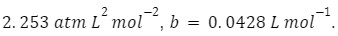
Q 4. What will be the pressure of 3.2 g of methane in a 250 mL container at 300 K. Assume methane is a real gas. Given the value of a=2.253 atm L2 mol-2, b=0.0428 L mol-1.
Answer: According to the given question,
Number of moles of methane gas = ![]()
Volume of the container = 250 mL=0.25 L
Temperature of the gas = 300 K
Value of proportionality constant “a" = 2.253 atm L2 mol-2
Value of proportionality constant “b" = 0.0428 L mol-1
Let the pressure of the gas be P atm.
According to the van der Waal equation,
![]()
Rearranging the above equation, we get;
![]()
Putting the value of the variables in the above equation, we get;
![]()
P=(20.04720-0.36048) atm
P=19.686 atm
Q 1. What is the difference between the van der Waals and ideal gas equation?
Answer: The ideal gas equation PV=nRT derived from the kinetic theory does not hold good for real gases because of two wrong assumptions in the kinetic theory of gases.
Van der Waal suggested the correction in volume and pressure terms in the ideal gas equation in order to make it applicable to real gases.
![]()
Here,
“Pi” determines the actual pressure of the gas
“b" is the excluded volume of molecules per mole of a gas
“V” is the volume of the gas (volume of the container)
“n” represents the number of moles of gas
“T” represents the absolute temperature of the gas
“R” represents the universal gas constant
“a” represents the proportionality constant
The above equation is known as the Van der Waals gas equation. The proportionality constant "a" and “b" are the characteristics of each gas.
Q 2. What are the conditions when real gas can be approximated to an ideal gas?
Answer: In general gases deviate from the ideal behaviour at normal temperature and pressure and are named real gases. But at low pressure and high-temperature deviation of gas from ideal behaviour is minimum and real gas almost behaves as an ideal gas.
Q 3. What will be the van der Waals equation of the gas if we assume that there are no interactions present between the molecules?
Answer: As we know that according to the van der Waals equation, ![]()
is the factor that represents the attraction force present between the molecules. When there is no attraction force present between the molecules
becomes 0. Van der Waals equation will be modified and can be represented as P (V-nb)=nRT
Q 4. What is the difference between a real gas and an ideal gas?
Answer: In the case of ideal gas we assume that there are no interactions present between the molecules and the volume of the gas molecules is negligible with respect to the volume of the container in which it is kept and the collisions between the molecules are perfectly elastic in nature. Whereas in the case of real gases, there will be interactions between the molecules and the volume occupied by the gas molecules cannot be neglected in comparison to the volume of the container therefore it shows deviation from ideal behaviour. There are two types of deviations possible, one is positive deviation where repulsive forces are dominating between the molecules and the other one is the negative deviation from ideal behaviour where attractive forces are dominating between the molecules.
Related topics
|
Kinetic theory of gases |
Gay-Lussac’s Law |
|
Maxwell-Boltzmann distribution curve |
Dalton's Law of Partial Pressure |
|
Ideal Gas Equation |
Real Gas |