Call Now
1800-102-2727Consider a person hitting an iron block with a hammer (Fig. below). After some time, when he starts beating the iron block, he could feel that it had heated up. What do you think would be the reason for this? Well! It can be inferred here that mechanical energy is converted into thermal energy. However, this heated iron block which is converted into a sheet soon loses the heat as the thermal energy is dissipated into the atmosphere.

Let’s take one more example. Let’s say you have thrown a ball on the floor. Well! As you can see, it follows a particular trajectory path as shown in Fig. below. What is your observation here? Each time the ball touches the ground, some amount of its kinetic energy (mechanical energy) is transferred to the floor.

In both of these examples, mechanical energy is getting converted into thermal energy. In other words, work is getting converted into heat. If I ask you, is it possible to convert heat into mechanical work? Well! The answer to this question is actually Yes but heat cannot be converted into work on its own. Thus, heat is a less useful form of energy when compared to work.
Consider a ball placed on a platform. Heating up the platform will not cause the ball to bounce, i.e., the heat energy cannot be completely converted into mechanical energy. No system exists in reality that can completely convert heat into work. or if I ask you in which direction the energy is transforming The second law of thermodynamics gives information about the direction or spontaneity of energy transformation. Consider a hot cup of coffee kept on a table. Since the flow of heat will happen from a hotter body to a colder body, we can infer that the heat energy from the cup of coffee dissipated into the surroundings. Let’s try to find out what exactly is the second law of thermodynamics.

Entropy is the measure of the degree of randomness or disorderness in a system. The greater the disorderness in an isolated system, the higher the entropy. Entropy is denoted by the letter 'S'.
For a better understanding of entropy, an illustration is given in Fig. below where representations of solid, liquid, and gaseous states are shown. The random movement is maximum for molecules in the gaseous state followed by the liquid state and then the solid state.

The order of entropy for different physical states is given as:

The essence of the first law of thermodynamics is that all the physical and chemical processes occur in such a way that the total energy of the system and surroundings is constant. This law did wonders to the world law as no transformation has violated the principle of conservation of energy. However, the first law of thermodynamics has many limitations.
The first law of thermodynamics does not give any information about the direction of the flow of heat energy.

For example, if two systems, A and B, which are capable of exchanging heat, are brought in contact with each other, then the first law of thermodynamics will only tell us that one system loses the energy and the other system gains the same amount of energy.
However, the law fails to tell whether the heat will flow from systems A to B or vice versa. In order to predict the direction of the flow of heat, one more parameter, i.e., temperature, is required.
The heat energy actually flows from a system that is at a higher temperature to the colder body. The process continues till both the systems attain the same temperature i.e., the thermal equilibrium state. The first law of thermodynamics though fails to answer why heat energy does not flow from a cold system to a hot system, though the energy is conserved in this way as well. That’s where the second law of thermodynamics comes into the picture which states that the heat can flow spontaneously from a hot object to a cold object; heat will not flow spontaneously from a cold object to a hot object.
The second law of thermodynamics states that the entropy of the universe increases in the course of a spontaneous change, i.e., ΔSuniv ≥ 0.
Mathematically,
ΔSuniv = (ΔSsys + ΔSsurr) ≥ 0 (for a spontaneous change)
For a reversible process, i.e., it can proceed in both the direction spontaneously, so this can happen only when there will be no change in the entropy of universe.
ΔSuniv = (ΔSsys + ΔSsurr) = 0 ( for a reversible spontaneous change)
For an irreversible process, i.e., it can proceed only in the forward direction spontaneously, so this happens as the change in entropy is greater than zero.
ΔSuniv = (ΔSsys + ΔSsurr) > 0 (for an irreversible spontaneous change)
For an isolated system, as there is no interaction between the system and the surroundings, the system itself is considered as the universe. Hence, ΔSsys ≥ 0, i.e., For a spontaneous process in an isolated system, the entropy of a system always increases (in case of the irreversible process) or remains constant (in case of the reversible process).
Recommended Videos: https://www.youtube.com/watch?v=hXS8xNTP5pM
Statements of the Second Law of Thermodynamics
There are two statements of the second law of thermodynamics which are;
1. Kelvin-Plank Statement
2. Clausius Statement
It is impossible for a heat engine that operates in a cycle and produces a net amount of work if it exchanges heat only with bodies at a single fixed temperature or if the heat engine receives heat only from a single reservoir.


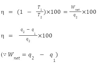
The efficiency () of a heat engine is given as:

Where,
q2 is the amount of heat taken by the engine from the source which is at a constant temperature T2.
q1 is the amount of heat rejected by the engine to the sink which is at a constant temperature T1.
Wnet is the net work done by the heat engine.
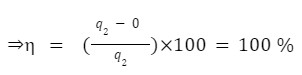
Now, if q1=0 (considering there is no sink where heat is getting rejected)
⇒Wnet=q2

100 % efficiency is impossible to achieve, this is what Kelvin and Planck proposed that it is impossible for a device to operate on a cycle where it produces work in a complete cycle by exchanging heat with only one reservoir.
It is impossible to construct a device operating in a cycle that can transfer heat from a colder body to a hotter one without consuming any work.

In other words, unless the compressor is driven by an external source, the refrigerator and heat pump won’t be able to operate. As for these two, the heat is transferred from the lower temperature to the higher temperature by doing extra work.
With the help of electrical work, the refrigerator extracts heat from the cold body and transfers it to the hot body i.e. from inside the refrigerator to the room. Hence refrigerator is nothing just a reverse heat engine.
Here, Tsource > Tsink
It can be said;
qH= Win + qC

Where,
qH is the amount of heat rejected to the room which is at a constant temperature Tsource.
qC is the amount of heat rejected by the refrigerator which is at a constant temperature Tsink..
Win is the electrical work used by refrigerator.
Coefficient of Performance (COP)
The coefficient of performance of a refrigerator is a ratio of useful heating or cooling provided to work required by the refrigerator.

Now suppose there is no electrical supply given to refrigerator i.e, Win = 0

It is impossible to construct a refrigerator or a heat pump whose COP is infinity.
The device that produces work while interacting with a single heat reservoir and produces work is known as a perpetual motion machine of the second kind (PMM-II). Also, a device that violates the second law of thermodynamics is a perpetual motion machine of the second kind.
Thus, a heat engine has to interact with at least two thermal reservoirs at different temperatures to produce work in a cycle. So as long as there is a difference in temperature, work can be produced. If the bodies with which the heat engine exchanges are of finite heat capacities, work will be produced by the heat engine until the temperature of the two bodies is equalised.
Q 1. For an irreversible spontaneous change, the entropy of the universe is:
A) Constant
B) increasing
C) decreasing
D) Zero
Answer: (B)
ΔSuniv = (ΔSsys + ΔSsurr) > 0 ( For an irreversible spontaneous process )
The entropy of the universe tends towards a maximum.
Q 2. The efficiency of a heat engine depends upon
A) the temperature of the sink only
B) the temperatures of the source and sink
C) the volume of the cylinder of the engine
D) the temperature of the source only
Answer: (B)
The efficiency of the heat engine is given as:

where TH is the hot reservoir temperature and TL is the cold reservoir temperature.
The efficiency of the heat engine depends on the temperature of the source and sink.
Q 3. What will happen to the entropy of the system when an ice cube is placed at room temperature?
A) Increases
B) Decreases
C) Constant
D) Zero
Answer: (A)
The entropy of a system will increase because initially the molecules of ice are tightly packed but when we place it at room temperature then the molecules will move randomly as the ice melts and gets converted into liquid. As the randomness of the system increases, then entropy will also increase.
Q 4. For an irreversible spontaneous process, the change in entropy of the system is 500 J and the change in entropy of the universe is 700 J. The change in entropy of the surroundings would be:
A) 200J
B) 250J
C) 300J
D) 550J
Answer: Option (A)
Given,
ΔSuniv = 700 J (for an irreversible spontaneous change)
ΔSsys = 500 J (for an irreversible spontaneous change)
ΔSsurr = ? (for an irreversible spontaneous change)
Now,
ΔSuniv = (ΔSsys + ΔSsurr) > 0 (for an irreversible spontaneous change)
Putting the given values,
700 J = (500J + ΔSsurr)
⇒ΔSsurr =200 J
Q 5. For a spontaneous reversible process, change in entropy of the universe will be:
A) Increase
B) Decrease
C) Constant
D) Zero
Answer: Option (D)
For a spontaneous reversible process, there will be no change in the entropy.
ΔSuniv = (ΔSsys + ΔSsurr) = 0 (for a reversible spontaneous change)
Q 1. What is an example of the second law of thermodynamics in practice?
Answer: One of the real life examples of the second law of thermodynamics is explained below:
When we put an ice cube in a cup with water at room temperature. The water releases off the heat and the ice cube melts. Hence, the entropy of water decreases. The ice cube then absorbs the same amount of heat which was released by water and therefore its entropy increases. The entropy increased in this process is much greater than the entropy decreased.
Therefore we can say that there is a net increase in the entropy.
Q 2. Why is the second law of thermodynamics necessary?
Answer: The second law of thermodynamics helps in determining whether a reaction is feasible or not and also indicates the direction of heat transfer. It also indicates that heat energy cannot be entirely converted into equivalent work, some amount of heat energy will be rejected as well. The heat energy which is converted into work is known as useful energy.
Q 3. Why does entropy increases with the increase in temperature?
Answer: With the increase in temperature, randomness (entropy) increases because the motion of particles increases and the speed of particles also increases so they have more entropy at a lower temperature.
Q 4. What are the factors that affect entropy?
Answer: There are several factors that affect the amount of entropy in a system.
Q 5. Why does an air conditioner cool a room while a refrigerator warms the room?
Answer: Air conditioners can cool your house because part of the unit is outside. That way the air conditioner can pump the heat out of your house and releases it to the outdoors. So just as your refrigerator heats your kitchen while cooling what is inside the refrigerator, air conditioners heat the outdoors while cooling your house. But in both cases, the heat is transferred from lower temperature to higher temperature by using electrical work.
Related Topics:
|
Isothermal Process |
Thermodynamic Terms |
|
Thermodynamic Processes |
Degrees of Freedom |
|
Heat Capacity Cp Cv relation |
Exothermic and Endothermic Reactions |
|
First Law of Thermodynamics |
Third Law of Thermodynamics |