Call Now
1800-102-2727What should be the nature of baking soda and how this process takes place? Let us discuss in detail.

Table of content
A salt which is formed from the combination of weak acid and strong base is called Salt of weak acid and strong base (WASB).
Consider the formation of a salt of weak acid and strong base
CH3COOH(aq)+NaOH(aq)CH3COONa(aq)+H2O(l)
In aqueous solution, cation of strong base Na+undergo hydration rather than hydrolysis.
But the anion of weak acid CH3COO-undergo Hydrolysis which can be written as
CH3COO-(aq)+H2O(l) ⇌ CH3COOH(aq)+OH-(aq)
The presence of Hydroxide ions makes the solution basic. Hence, the salt of weak acid and strong base will be basic in water.
Using of Law of Mass Action

Kh is the hydrolysis constant of salt.
Dissociation of weak acid CH3COOH can be written as :
CH3COOH(aq) ⇌ CH3COO-(aq)+H+(aq)

Multiply (1) by (2)


(h = degree of hydrolysis)

As for weak electrolytes dissociation is very small; h<<<<1


This is valid only if h < 5%
The pH of salt of WASB (weak acid and strong base) is greater than 7 as in equation (3), 12pKa+logC will give positive value and get added to 7. This means the nature of salt should be basic. Experimentally, we can prove it. If you take litmus of blue and red colour and dip into the solution of salt of WASB, the red litmus turns blue which indicates the presence of basic salt.

Related Video Link :Discussion on Buffer Solution, Salt Hydrolysis, Solubility Product - Class 11 Chemistry|JEE
Q 1. If the equilibrium constant of reaction of HCN and KOH is 10-10. Calculate the pH of 10-2M of NaCN solution at 250C
Answer: Kh=10-10, C=10-2M
HCN(aq)+KOH(aq)NaCN(aq)+H2O(aq)
The salt NaCN is a combination of Weak Acid & Strong Base. So pH can be calculated as

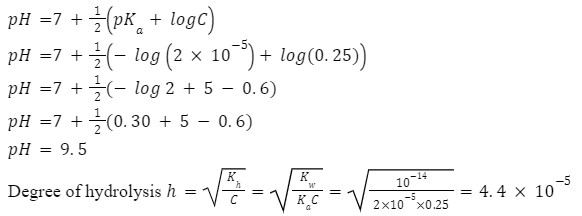
Q 2. Calculate the degree of hydrolysis and pH of a 200 mL solution formed when 0.05 mol of potassium acetate is added to water. Given, equilibrium constant for CH3COOH is 2 x 10-5 at 250C
Answer: Ka=2 x 10-5, ![]()
The salt CH3COOK is a combination of Weak Acid & Strong Base. So pH can be calculated as

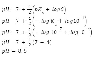
Q 3. If the equilibrium constant of CaCO3 is 10-9. Calculate the pH of 10-4M of solution at 250C. Given Ka for H2CO3 =10-7
Answer: Kh=10-9, C=10-4M, Ka=10-7
The salt CaCO3 is a combination of Weak Acid & Strong Base. So pH can be calculated as

Q 4. Calculate the pOH of 0.02 M of calcium nitrite solution. Given Ka for HNO2 is 10-4.
Answer: Salt Ca(NO2)2 produce two nitrite ions on dissociation.
Concentration of NO2-ions = 2(0.02M) of Ca(NO2)2= 0.04 M , Ka=10-4
The salt Ca(NO2)2 is a combination of Weak Acid & Strong Base. So pH can be calculated as

Q 1. What are the application of salt of weak acid and strong base we can observe in daily life?
Answer: It's utilized in a variety of industries, mostly as a strong foundation in the paper and textile industries, as well as in soap and detergent manufacturing and as a drain cleaner.
Q 2. The main compound present in Baking powder is NaHCO3. Comment on the nature of salt.
Answer: NaHCO3+H2ONaOH+H2CO3
From the equation, it is clearly understood that it is a combination of weak acid and strong base. Hence the nature of salt should be basic.
Q 3. Are the nature of ENO and Baking soda the same ?
Answer: When I read the ingredients present in ENO, I found sodium bicarbonate there having a major amount. The same compound is present in baking soda.So, I can say the nature of ENO and baking soda is the same.
Q 4. Can you remove a turmeric stain from clothes by baking soda?
Answer: Yes , we can remove a turmeric stain from clothes by baking soda because turmeric is acidic in nature and baking soda is basic in nature. So, when they come in contact with each other, the neutralization occurs and stains get removed. We need a basic salt not a strong base because we need a slow-acting basic condition by the slow hydrolysis of the salt.
Related Topics
|
Anionic Hydrolysis |
Cationic Hydrolysis |
|
Hydrolysis of salts - salt of weak acid and weak base |
Hydrolysis of salts - salt of strong acid and weak base |
|
Buffer solutions |
Acids bases and salts |