Call Now
1800-102-2727Your teacher could have told you, that acid react with a base to give salt and water. True. But the behavior of salts are not same in water. Some salts make the solution acidic , some maintain neutrality of water while some make it basic.The solution of these salts can make a huge effect.
Why study this concept? pH of salt plays an important role in the quality of vegetables or food material grown in the field.
Do you know the most commonly used fertilizer by our farmers- ammonium nitrate, which is a salt of a strong nitric acid and a weak base ammonium hydroxide. Can you predict the nature of Ammonium nitrate? Whether it is acidic or basic salt or or neutral and will you be able to calculate the pH of this salt in water.
If not, you will be able to understand it after reading this.

Table of content
A salt which is fromed from the combination of strong acid and weak base is called Salt of strong acid and weak base (SAWB).
Consider a salt of strong acid and weak base
HCl(aq)+NH4OH(aq)NH4Cl(aq)+H2O(l)
Here anion of strong acid Cl-undergo hydration rather than hydrolysis.
But the cation of weak base NH4+undergo Hydrolysis and can be written as
![]()
The presence of proton makes the solution acidic. Hence, the salt of strong acid and weak base will be acidic in water.
Using law of Mass action

Kh is the hydrolysis constant of salt.
Dissociation of weak base NH4OH can be written as :

Multiply (1) by (2)


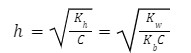
(h= degree of hydrolysis)


This is valid only if h < 5%
The pH of salt of SAWB (strong acid and weak base) is lesser than 7 as in equation (3), 12pKa+logC will give positive value and subtracted from 7. This means the nature of salt should be acidic. Experimentally, we can prove it. If you take litmus of blue and red colour and dip into the solution of salt of SAWB, the blue litmus turns red which indicates the presence of acidic salt.

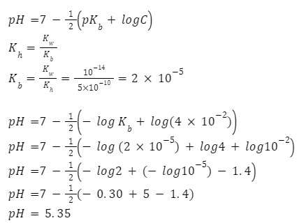
Q 1. Calculate the pH of 0.04 M of ammonium sulfate solution. Given Kh=510-10
Answer: Kh=510-10, C=0.04M
The salt (NH4)2SO4 is a combination of Strong Acid(H2SO4) & Weak Base(NH4OH). So pH can be calculated as

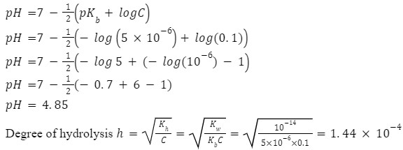
Q 2. Calculate the degree of hydrolysis and pH of a 400 mL solution formed when 0.04 mol of pyridinium hydrogen chloride is added to water. Given, equilibrium constant for Pyridine is 510-6 at 250C
Answer: ![]()
The salt pyridinium hydrogen chloride is a combination of Strong Acid & Weak Base. So pH can be calculated as

Q 3. Which of the given statements is correct for the degree of hydrolysis for a salt of a strong acid and a weak base?
a. It is dependent on dilution.
b. It increases with dilution.
c. It increases with the decrease in the Kb of bases.
d. All of the above.
Answer: (d)
Solution: From the given equation
![]()
It is clear from the equation, degree of hydrolysis hdepends upon the dilution, if dilution increases, concentration decreases, and degree of hydrolysis also increases.
So, Statement (a) and statement (b) are correct.
From the equation again,

If Kb decreases, degree of hydrolysis h increases.
Hence, statement (c) is also correct.
Hence, correct statement is (d)
Q 4. Equal volumes of 0.4 M NH4OH (or ammonia) and 0.2 M H2SO4 are mixed. Calculate the pH (in nearest integer) of the final solution. Given, Kb of NH3= 1.8 x 10-5 at 250C
Answer: ![]()

Q 1. Is salt of strong acid and weak base called an acidic salt?
Answer: Yes of course, we can name salt of strong acid and weak base as acidic salt because it is experimentally as well as therotically confirmed that pH of this salt is less than 7 and hence acidic in nature.
Q 2. The main compound present in fertilizers is NH4NO3 . Comment on the nature of salt.
Answer: ![]()
From the equation, it is clearly understood that it is a combination of strong acid and weak base. Hence the nature of salt should be acidic.
Q 3. Why acidic salts like ammonium sulfate and ammonium nitrate are used in fertilizers?
Answer: Acidic salts are generally beneficial for exchangeable sodium reduction and the improvement of soil physical properties. That is why they are used in fertilizers.
Q 4. Can you remove a mango stain from clothes with vinegar?|
Answer: No , we cannot remove a mango stain from clothes with vinegar because vinegar and mango both are acidic in nature. So, when they come in contact with each other, nothing happens.

Related Video Link :Discussion on Buffer Solution, Salt Hydrolysis, Solubility Product - Class 11 Chemistry|JEE
Related Topics
|
Anionic Hydrolysis |
Cationic Hydrolysis |
|
Hydrolysis of salts - salt of weak acid and weak base |
Hydrolysis of salts - salt of weak acid and strong base |
|
Buffer solutions |
Acids bases and salts |