•  
agra,ahmedabad,ajmer,akola,aligarh,ambala,amravati,amritsar,aurangabad,ayodhya,bangalore,bareilly,bathinda,bhagalpur,bhilai,bhiwani,bhopal,bhubaneswar,bikaner,bilaspur,bokaro,chandigarh,chennai,coimbatore,cuttack,dehradun,delhi ncr,dhanbad,dibrugarh,durgapur,faridabad,ferozpur,gandhinagar,gaya,ghaziabad,goa,gorakhpur,greater noida,gurugram,guwahati,gwalior,haldwani,haridwar,hisar,hyderabad,indore,jabalpur,jaipur,jalandhar,jammu,jamshedpur,jhansi,jodhpur,jorhat,kaithal,kanpur,karimnagar,karnal,kashipur,khammam,kharagpur,kochi,kolhapur,kolkata,kota,kottayam,kozhikode,kurnool,kurukshetra,latur,lucknow,ludhiana,madurai,mangaluru,mathura,meerut,moradabad,mumbai,muzaffarpur,mysore,nagpur,nanded,narnaul,nashik,nellore,noida,palwal,panchkula,panipat,pathankot,patiala,patna,prayagraj,puducherry,pune,raipur,rajahmundry,ranchi,rewa,rewari,rohtak,rudrapur,saharanpur,salem,secunderabad,silchar,siliguri,sirsa,solapur,sri-ganganagar,srinagar,surat,thrissur,tinsukia,tiruchirapalli,tirupati,trivandrum,udaipur,udhampur,ujjain,vadodara,vapi,varanasi,vellore,vijayawada,visakhapatnam,warangal,yamuna-nagar

Oxoacids of Halogen- Definition, Types of Oxyacids, Properties, Structures, Uses, Practice Problems, FAQs

Oxoacids of Halogen- Definition, Types of Oxyacids, Properties, Structures, Uses, Practice Problems, FAQs

Have you seen white power spread near water tanks of hospitals, schools and most public places? Have you asked your teachers what is that white powder? That is the active ingredient calcium oxychloride is used to destroy germs and bacteria in drinking water. Halogens have always been an important ingredient for any chemical synthesis. Bleach (calcium hypochlorite) is also used in washing clothes in laundries also. There are wide applications of oxyacids of halogen which we will study on this page.

Oxoacids have a large application in chemical synthesis and are used with precautions. 

Let’s study these acids in detail!

Table of content:

  • What are oxyacids?
  • Types of oxyacids
  • Oxoacids of Fluorine
  • Oxoacids of Chlorine.
  • Oxoacids of Bromine
  • Oxoacids of Iodine

What are oxoacids?

From top to bottom, Group 17 elements include fluorine, chlorine, bromine, iodine, and astatine. They're called halogens because they produce salt. The members of this group have a lot in common. Physical and chemical characteristics are arranged in a predictable way. Each of these elements has seven electrons in its valence shell ns2 and np5 is their electronic setup.

The suffixes –ous and –ic are used again to represent the lower and higher amount of oxygens in the acid formula if the acid contains oxygen (referred to as an oxoacid). Hydrogen, oxygen, and other components make up oxyacids. Oxyacids are acids that contain hydrogen, oxygen, plus another element.

Types of Oxoacids:

Halogens combine with oxygen to form oxoacids of halogens. We will study oxoacids compounds formed by halogen in detail. Here are the listed oxoacids formed by halogens.

Halic(I) acid

(Hypohalous acid)

HOF

Hypofluorous acid

HOCl

Hypochlorous acid

HOBr

Hypobromous acid

HOI

Hypoiodous acid

Halic (III) acid

-

HClO2

(chlorous acid)

-

-

Halic (IV) acid

-

HClO3
(chloric acid)

HBrO3

(bromic acid)

HIO3

iodic acid

Halic (VII) acid

-

HClO4

(perchloric acid)

HBrO4

perbromic acid

HIO4

periodic acid

Oxoacids of Fluorine:

  • Fluorine forms only one oxoacid, HOF, known as fluoric (I) acid or hypofluorous acid, due to its high electronegativity and tiny size.
  • HOF is an inflammable, colourless gas. It was created utilising the matrix isolation technique for the first time in 1968. F2 and H2O were confined in a solid nitrogen matrix that was non-reactive.
  • The gases were photolyzed, resulting in the formation of the HOF . Because it was also locked in solid nitrogen, it couldn't collide or react with other molecules like H2O or O2. As a result, a product was created. F2 has recently been made into HOF by running it through an ice bath at 0℃ and removing the product into a cold trap. 
  • F was assumed to be incapable of forming oxy acids for a long time. It is already well recognised that HOF can be prepared in a variety of ways.

F2(g)+H2O(aq) ⇌ HOF(aq)+HF(aq)

  • HOF is a volatile compound that decomposes into HF and O2 on its own. 
  • It's a powerful oxidizer that can quickly convert H2O to H2O2. The -OF group is found in oxidising agents like F3C-OF, O2N-OF , F2S-OF, F5S-OF and O3Cl-OF 

Structure of HOF:

Oxoacids of Chlorine:

Chlorine forms maximum oxoacids among halogens. Let’s study them in detail.

1. Hypochlorous Acid, HClO: This acid only exists under solution. It's made by mixing precipitated HgO with chlorinated water and stirring it.

Preparation of HClO:

image
It's made commercially by passing CO2 through a suspension of bleaching powder and then distillings it.
image

Properties and reactions of HClO:

  • It's a very weak acid. The concentrated solution is yellow in colour but upon dilution, the solution slowly becomes colourless. It decomposes and is unstable
    image
  • With the release of hydrogen, it dissolves magnesium.
    image
    It forms hypochlorites when alkalies are present.
  • It has a strong oxidising and bleaching effect. This is owing to the easy release of nascent oxygen.
    image

Structure of HClO: This is the structural representation of HClO

2. Chlorous Acid, HClO2:
Chlorous acid has the formula HClO2 and is an inorganic chemical. It's a very weak acid. In this acid, chlorine has an oxidation state of +3. Although it is a weak acid, it is more powerful than HClO.

Preparation of HClO2:
When barium chlorite suspension in water is treated with H2SO4, it is produced in aqueous solutions. The insoluble barium sulphate is removed using filtration.
image

 Properties and reactions of HClO2:

  • The solution is colourless when it is first made, but it quickly decomposes to ClO2, which turns the solution yellow.
    image
  • Auto-oxidation occurs in this acid.
    image
  • Iodine is liberated from KI using this acid.
    image

Structure of Chlorous Acid:

  • Chloric acid , HClO3:
    Chloric acid is a clear liquid with no colour. It will hasten the combustion of combustible materials and can ignite the majority of them on contact. It corrodes both metals and tissue. It's used to create other chemicals and as a reagent in chemical analysis.
     

Preparation of HClO3:
This acid only exists under solution. Dilute H2SO4 reacts with barium chlorate to produce this acid. Barium sulphate which is formed in the reaction is precipitated out.
image
Properties and reactions of HClO3:

  • Concentrated chloric acid is a colourless liquid with a strong odour.
  • It decomposes in the presence of light. It is, nevertheless, stable in the dark. In the presence of light, it functions as a potent oxidising and bleaching agent. When organic materials like paper, cotton, and wool come into touch with the acid, they catch fire.
  • If attempts are made to evaporate HOBrO2 to dryness, they will detonate. The most important is:
    image
  • There are two techniques to make chlorates:

(I) Putting Cl2 into a hot NaOH solution 
(II) Hot chloride is electrolyzed and aggressively agitated.
Only one-sixth of the chlorine gets transformed to ClO3-, indicating that the process is inefficient. The NaCl produced, on the other hand, is electrolyzed again and hence does not go to waste.
image

Structure of chloric acid:

Oxoacids of Bromine:

1. Hypobromous acid:
HOBr is a known hypohalous acid of bromine, having +1 oxidation state of Br. HOBr is very unstable and exists only in an aqueous solution. Although this is a weak acid, but is an effective oxidising agent in acidic solutions.
This acid only exists under solution. It's made by mixing precipitated HgO with brominated water and stirring it.
Preparation of HOBr:

image
Only at temperatures around 0°C hypobromites (OBr-) may be formed; at temperatures above 50°C, quantifiable yields of BrO3- are obtainedimage

Properties of HOBr:

  • HOBr i.e also known as hypobromous acid has a molecular mass equal to 96.921 amu.
  • Density of this acid comes out to be 2.470 g cm-3.
  • HOBr is volatile in nature having boiling point around 20℃-25℃
     

Structure of HOBr:

  • Bromic acid HBrO3:
    Bromic acid is also known as Hydrogen bromate acid or Bromic (V) acid.

    Preparation of HBrO3:
    This acid only exists under solution. Dilute H2SO4 reacts with barium bromate to produce this acid. Barium sulphate which is formed in the reaction is precipitated out.
    image
    Properties and reactions of HBrO3:
  • It's a clear, colourless solution. The colour of the solution changes yellow as it decomposes to bromine at room temperature. 
  • Bromic Acid's molecular or chemical formula is also written as HBrO3.
  •  HOBrO2 has a molecular mass equal to 128.91 u.
    If attempts are made to evaporate HOBrO2 to dryness, they will detonate. The most important reaction is image
  • This acts as a good oxidising agent and is a typical constituent in the Belousov-Zhabotinsky reaction.

Structure of HBrO3:

  • Perbromic acid HBrO4:
    Perbromates were not discovered until 1968. They are uncommon in nature. Preparations of Perbromic acid are very complex which is very uncommon.

Properties and reactions of HBrO4:

  • Perbromates could not exist for a long time until traces were recovered from image of SeO42- . They can be generated from bromates by the action of powerful oxidising agents F2 and XeF2 or by electrolysis of an aqueous solution.
    image
    The yield of the above reaction is close to 20%

image
The yield of the above reaction is close to 10%

  • Perbromates that are solid are stable. KBrO4 is isomorphous with KClOand stable up to 275°C. The concentrated acid, HBrO4, is stable in solution up to a concentration of 6 M, but it is a strong oxidizer. Perbromates oxidise slowly in dilute solutions.

Structure of HBrO4:

Oxoacids of Iodine:

  • Hypoiodous acid:
    HOI is a known hypohalous acid of iodine, having a +1 oxidation state of I.

    Preparation of Hypoiodous acid:
    1. This acid only exists under solution. It's made by mixing precipitated HgO with brominated water and stirring it.
    image
    2. Iodine interacts with a cold, weak sodium hydroxide solution to make sodium hypoiodite, which is then hydrolyzed to produce hypoiodous acid.
    image
    Properties and reactions of HOI:
  • Hypoiodous acid has the chemical formula HOI and is a greenish-yellow solution.
  • Hypoiodous Acid is a volatile iodine species found in steam/air atmospheres that is neither elemental nor organic.
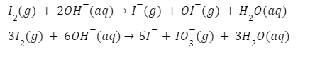
  • At all temperatures, hypoiodites disproportionately quickly, and IO3- is quantitatively created.
    image

Structure of HOI: 

  • Iodic acid:
    HIO3 or iodic acid, is a white solid that is relatively stable.
    Preparation of Iodic acid:
    This is a two-stage preparation of iodic acid.

  • image
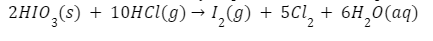
  • Iodic acid is made by oxidising iodine I2 with powerful oxidants such nitric acid HNO3, chlorine Cl2 or chloric acid HClO3 . One of these reactions is represented as:
    image

Properties and reactions of Iodic acid:

  • With a pKa of 0.75, iodic acid is a relatively strong acid.
  • In acidic solutions, it is highly oxidising; in basic solutions, it shows less oxidising behaviour.
  • When iodic acid is used as an oxidant, the process produces either iodine or the iodide ion.
  • Because it was known that iodic acid is reduced by hydrochloric acid when a solution containing the two chemicals is evaporated, the presence of hydrochloric acid in the iodic acid solution seemed likely to preclude the development of a quantitative approach.
    image

Structure of Iodic acid:

  • Periodic acid:
    Iodine's highest oxoacid is periodic acid, in which the iodine is in an oxidation state +7. It can be found in two forms, like all periodates: orthoperiodic acid (H5IO6) and metaperiodic acid (HIO4).

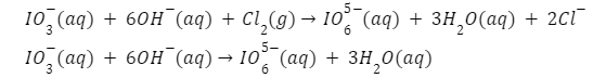
Preparation of Periodic acid:The oxidation of a sodium iodate solution under alkaline conditions, either electrochemically on an PbO2 anode or by chlorine treatment, is used in modern industrial-scale production.
image
HIO4.2H2O or H5IO6 is the most prevalent form of periodic acid. This is referred to as paraperiodic acid.

Properties and reactions of Periodic acid:

  • Periodic acid is a crystalline, colourless substance. Iodine is seen in oxidation state +7. Periodic Acid is the highest oxoacid of iodine here.
  • Periodic acid occurs as white crystals that melt at 128.5 °C due to decomposition. When heated to 100 °C under reduced pressure, water is lost, resulting in periodic acid HIO4 This ultimately decomposes under high heat, losing O2 and producing I2O5.
    image
  • Periodic acid are employed in the oxidation of organic molecules. Mn2+will be oxidised to MnO4- using this periodic acid.

Structure of Periodic acid:

Practice Problems:

Q1. ClO3- is shaped like a ____________.
A. tetrahedron
B. pyramid
C. octahedron
D. pentagon
Answer: B
Solution: ClO3- ion exhibits pyramidal geometry, according to VSEPR theory, due to the presence of 1 lone pair and 3 bond pairs, resulting in sp3 hybridization.

Q2.HClO4 ionises faster than HClO because of ___________
A. low ionisation energy of O-H bond in HClO than that of HClO4
B. high ionisation energy of ClO- than that of ClO4-
C. high ionisation energy of O-H bond in HClO than that of HClO4
D. low hydration energy of ClO- than that of ClO4-
Answer: C
Solution: Due to resonance stabilization of ClO4-, the anion is highly stabilized resulting in an easier breakage of the O-H bond. As a result, perchloric acid (HClO4), acts as a stronger acid in comparison to hypochlorous acid (HClO).


Q3. Which among the following requires the least energy to break the O-H bond present in oxoacids of chlorine?
A. HClO
B. HClO2
C. HClO3
D. HClO4
Answer: D
Solution: The acidic strength of oxo acids is linked to anion resonance stabilisation. Higher the acidity, the greater the stability of the conjugate base. It can also be phrased as “The stronger the acid, the greater the resonance stabilisation of the anion”.

ClO- has zero resonating structures, ClO2- has two resonating structures, ClO3- has three resonating structures and ClO4- has four resonating structures. 

Hence, HClO4 is the acid which has maximum acidic strength among all. 


Q4. Glycol splitting agent is also known as__________
A. HClO4
B. HIO4
C. HClO3
D. HIO3
Answer: B
Solution: Because it splits (oxidises) 1:2 glycols into aldehydes, HIO4 is known as a glycol splitting agent.
image

Frequently asked questions- FAQ

Q1. What are the applications of fluorine on regular basis?
Solution: There is a variety of application which helps us on daily basis. Some of these are:
Fluorine compounds can be found in toothpaste and tap water. 

  • Fluorine is an important medicine because it reacts strongly with tooth enamel and helps to prevent tooth decay.
  • The bleaching procedure makes extensive use of chlorine. It's also utilised in gold and platinum metallurgy.
     

Q2. Is it safe to drink chlorinated water?
Solution: Yes. The ISO Certified Labs regulates the quantity of chlorine in drinking water to ensure that it is safe to drink. The amounts of chlorine used to disinfect drinking water are unlikely to have long-term health consequences. 250 mg L-1is the acceptable level.


Q3. What happens if you consume a large amount of chloric acid?
Solution: Pain, trouble swallowing, nausea, and vomiting can all result from ingesting concentrated chloric acid which may be dangerous for human health.

Q4. What should the pH of hypochlorous acid be to avoid side effects?

Solution: The pH of the HOCl solution must be kept between 3.5 and 5 in order to keep it stable, maximise its antibacterial activity, and reduce unpleasant side effects.

Related Topics

Interhalogen Compounds

Modern Periodic Table

Polyhalogen compounds

Halogen containing compounds

Detection of Halogen

Addition of Halogen Acid for Alkynes

NEET Related Links

NEET Exam 

NEET  Exam Dates

NEET  Exam pattern

NEET  Syllabus

NEET  Eligibility Criteria

NEET  Application

NEET UG Counselling

NEET FAQ

NEET UG Result

NEET  Cut Off

JEE MAIN Related Links

JEE Main 

JEE Main Rank Predictor 

JEE Main College Predictor 

JEE Main  Exam Dates

JEE Main  Exam pattern

JEE Main  Application

JEE Main  Eligibility Criteria

JEE Main  Syllabus

JEE Main  Physics Syllabus

JEE Main  Maths Syllabus

JEE Main  Chemistry Syllabus

JEE Main  Admit Card

JEE Main  Counselling

JEE Main marks vs rank vs percentile

JEE Advanced Related Links

JEE Advanced  Exam Dates

JEE Advanced  Application

JEE Advanced  Eligibility Criteria

JEE Advanced  Syllabus

JEE Advanced  Maths Syllabus

JEE Advanced  Physics Syllabus

JEE Advanced  Chemistry Syllabus

JEE Advanced Exam Result

JEE Advanced Exam Dates

JEE Advanced Registration Dates

CUET Related Links

CUET  Eligibility Criteria

CUET  Admit Card

CUET  Exam Pattern

CUET  FAQs

CUET  Counselling

CUET  Syllabus

CUET  Result

CUET  Answer Key

CUET  Preparation

CUET CUTOFF

CUET  Application Form

Important Topics

Talk to our expert
Resend OTP Timer =
By submitting up, I agree to receive all the Whatsapp communication on my registered number and Aakash terms and conditions and privacy policy