Call Now
1800-102-2727Chemical reactions can be both reversible and irreversible. During reversible reactions, which can proceed both forward and backwards, there reaches a point where the concentration of reactants and products becomes constant. This point is called equilibrium.
The Law of Equilibrium explains the behaviour of chemical systems at equilibrium. The mathematical representation of the law of chemical equilibrium is given by the Equilibrium Constant (K).
The Law of Equilibrium, also known as the Law of Mass Action, was proposed in the 19th century by Guldberg and Waage. It states:
“At equilibrium, the rate of the forward reaction equals the rate of the backwards reaction, and the ratio of the concentrations of products to reactants, raised to their stoichiometric coefficients, remains constant at a given temperature.”
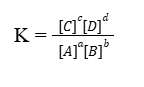
Let us consider a general reversible reaction to understand this:
|
aA + bB cC + dD |
Where,
According to the Law of Equilibrium, when this system reaches equilibrium, the following ratio is constant:

Here, the [] represents ‘concentration of’. This relationship shows that no matter how much reactant or product you start with, once equilibrium is established at a given temperature, this ratio stays the same.
The Equilibrium Constant (K) is the mathematical value that expresses the relationship. It tells about the position of equilibrium:
The important point to note here is that K depends only on temperature. While pressure or concentration has a temporary impact on equilibrium (as explained by Le Chatelier’s principle), the final K value remains constant.
For gases, we often express equilibrium in terms of partial pressures rather than concentrations. In that case, we use Kp instead of Kc.
The essential formula related to the law of chemical equilibrium is as follows:

The different factors that change the chemical equilibrium are:
The law of equilibrium, or the law of mass action, explains that at equilibrium, the ratio of product to reactant concentration is constant at a given temperature. This ratio is called the equilibrium constant (K). Large K favours product formation, small K favours reactant formation and K equivalent to 1 keeps both products and reactants in comparable amounts.
The position of equilibrium is affected by changes in concentration, pressure, and temperature (Le Chatelier’s Principle), while catalysts simply speed up the approach to equilibrium.
Q1. What is Le Chatelier’s principle?
If a system at equilibrium is disturbed by a change in concentration, pressure, or temperature, it shifts in a direction that opposes the change and restores equilibrium.
Q2. What are the practical applications of the law of equilibrium?
The practical applications of the law of equilibrium are witnessed in the Haber process, contact process, pharmaceuticals, biological systems and solubility control.
Q3. How to use the law of equilibrium in heterogeneous reactions?
In heterogeneous reactions, the law of equilibrium includes only concentrations of gases or aqueous species, while pure solids and liquids are omitted.