Call Now
1800-102-2727I am staying in a house of say 1000sq.foot and You stay in a house of 2000 square feet. Let us add one room extra of 100 square feet Who will feel of having more space, You or me?
I have added 100 square feet to the existing 1000 square feet an increase of 10%
You have added 100 square feet to the existing 2000sq.ft- an increase of only 5%.
So, I will feel more freedom of movement than you.

Similarly, the increase in freedom (entropy) of the system depends on the relative increase in enthalpy with temperature
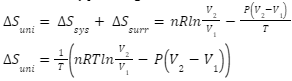
The overall change in entropy is given as ![]()
You shall understand the change in entropy under different conditions:
Table of Contents
The entropy change of a system is given as follows:
We assumed that the process is reversible while deriving the equation; however, because entropy is a state function, the equation is valid for both reversible and irreversible processes given the same change in circumstances.
Using the ideal gas equation






Total entropy change:






All phase transitions are reversible and occur at constant pressure and temperature.
Since heat is exchanged at constant pressure, qP= ΔH 



Q1. When 1.00 mole of H2O(l) is generated under standard conditions, calculate the entropy change (JK-1) in the surroundings (at 300 K). (Assume that △rHo = –300 kJmol-1).

Q2. Because the direct translation from A to B is difficult, the following path is followed:

Solution: Since entropy is a state function,
ΔS(A ⟶B) = ΔS(A⟶C) + ΔS(C⟶D) + ΔS(D⟶B)
= ΔS(A⟶C) + ΔS(C⟶D) − ΔS(B⟶D) (since ΔS(D⟶B) = − ΔS(B⟶D))
= (50 + 30 − 20) JK-1 = 60 JK-1
Hence the entropy change for the process A ⟶ B is 60 JK-1.
Q3. Calculate the entropy change (JK-1) that occurs when 3 mol of an ideal gas expands from a volume of 100 dm3 to a volume of 1000 dm3 at 300K in an isothermal reversible expansion.
Solution: The entropy change of a system is given as
Q4. At 250 K, one mole of an ideal gas in thermal contact with the environment expands isothermally from 1 L to 3 L under the constant pressure of 5 atm. Find the change in the entropy of the surroundings (△Ssurr) in JK-1 during this phase.
(1 L atm = 101.3 J)
Solution: Change in entropy of the surrounding is given by,
Question 1. What does entropy mean in everyday life?
Answer. The amount of thermal energy or heat per temperature is measured by entropy. Some entropy examples in your kitchen include a campfire, ice melting, salt or sugar dissolving, popcorn cooking, and boiling water.
Question 2. Is it possible to have a negative value of entropy?
Answer. The measure of disorder in a system is entropy. Entropy is always rising as everything in the universe strives toward a more chaotic state. The entropy of the cosmos for spontaneous events is always rising, according to the second rule of thermodynamics. As a result, the total entropy can never be negative.
Question 3. Is it possible to eliminate entropy?
Answer. Entropy is created everywhere and constantly, at every scale, and it can't be removed by any means at any scale. The Second Law of Thermodynamics states that "entropy of an isolated, closed system (or cosmos) is always rising." This is a required but not sufficient condition.
Question 4. Is entropy increased by freezing?
Answer. Entropy favours melting because water has higher entropy than ice. Freezing is an exothermic process, which means that energy is lost from the water and dissipated in the environment. As a result, as the environment becomes hotter, it gains more energy, increasing the entropy of the environment.
Related Topics
Enthalpy of Neutralization
Enthalpy of Combustion
Enthalpy of solvation
Thermodynamic Processes
Enthalpy of formation