Call Now
1800-102-2727You might have heard that different materials possess different magnetic properties. They find their applications depending upon the requirement. But have you ever wondered why do they possess different properties or why don’t they all behave the same? To go to depth of this question, you should first be aware of magnetization.
Table of contents
We know that if there exists unpaired electrons giving a net magnetic moment to an atom and the atoms are randomly distributed in the materials, the net magnetic moment of the material becomes zero.

If the same material is placed in an external magnetic field produced by a permanent magnet, then unpaired electrons behaving as magnetic dipoles will try to align themselves along the direction of the external magnetic field, as shown in the figure. Thus, the material now can show the magnetic properties.

Magnetization Vector ()
Consider a bar magnet having pole strength 𝑚, length 𝑙 and the cross-section 𝐴,

The magnetic moment is defined as
Therefore, intensity of magnetization,
Thus intensity of magnetization can also be defined as pole strength per unit cross sectional area.
Thus material of the core of solenoid does not influence its magnetic intensity.
To magnetise a material, we apply an external magnetic field to the material. Under influence of the external magnetic field, most of the atomic dipoles align themselves along the direction of
and creates their own magnetic field
inside the material.

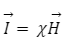
Net magnetic field inside matter:
Internal factor: Due to alignment of dipoles (I), (Magnetization)
External factor: Magnetising field intensity
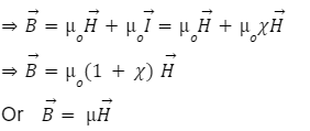
Net magnetic field,
𝜒 is used to represent magnetic susceptibility.
Magnetic Permeability
It is the ratio of magnitudes of magnetic field and magnetic intensity inside a material.
Consider a material being placed in the influence of an external magnetic field as shown.

The net magnetic field is given by,
Since, magnetization
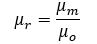
Where is Permeability of the material
If there is no material, is the permeability of the vacuum.
Relative permeability: The relative permeability of a material is a factor by which magnetic field increases when a material is introduced.

Q. A solenoid has a material of relative permeability 400. If solenoid has 1000 turns per metre and carries a current of 2 𝐴. Find
1) Magnetic intensity(𝐻)
2) Net magnetic field(𝐵𝑛𝑒𝑡)
3) Intensity of magnetization(I)
Answer.
⇒H=nI
I=𝜒H
Q. A 2 A current is flowing in the winding of a toroid. There are 950 turns and the mean circumferential length is . If the magnetic field inside the toroid is 4 T, then find the magnetic susceptibility of the core.
Answer.
Given:
Magnetic field inside a toroid,
Here, the mean circumferential length is,
Substituting values in equation (1),
The relative permeability will be
Using formula,
Q. Find the magnitude of magnetic field B at the centre of a bar magnet having pole strength 3.6 Am, magnetic length 12 cm and cross-sectional area 0.9 cm2.
A.
Given:
Pole strength of magnet, m=3.6 Am
Magnetic length, 2l=12 cm
Cross-sectional area, A=0.9 cm2
At the centre of the magnet, magnetic field can be written as
Here,
Magnetization of bar magnet can be calculated as,

Due to north pole magnetic intensity at the centre,
Similarly, magnetic intensity due to south pole at the centre is,

Resultant magnetic intensity,
[Towards the south pole]

Net magnitude of magnetic field at the centre, using the equation (1) can be obtained as:
towards North pole
Q. If the space inside a current carrying toroid is filled with aluminium, then find the increase in magnetic field in terms of percentage. The susceptibility of aluminium is .
A.
Given,
Susceptibility of aluminium,
Magnetic field in the absence of aluminium,
The magnetic field when the space within the toroid is filled with aluminium,
The increase in the field is,
The percent increase is,
Q1. What is the relative permeability of a diamagnetic material?
Answer. The relative permeability of a diamagnetic material is less than 1 since diamagnetic materials repel the external magnetic field lines. Magnetic field lines inside these materials are comparatively lesser than the free space.
Q2. What is the physical significance of magnetic susceptibility?
Answer. The ease with which the material can be magnetised when subjected to external magnetic fields is represented by magnetic susceptibility.
Q3. A steel rod is located at the north magnetic pole of the earth. It is partially embedded into the ground. The rod acquires magnetic properties after a long time, then -
A. (b)

Consider the magnetic field lines around the Earth.
These lines will enter the rod through the end embedded into the ground and exit through its other end, which is above the ground.
Therefore, the upper end of the rod which is outside the ground becomes the North pole and the part of rod inside the ground acquires the South pole.
Hence, option B is correct.
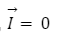
Q4. A plane parallel to the magnetic axis of a bar magnet cuts it into two equal halves. What happens to the intensity of magnetization?
Answer. Intensity of magnetization is a property which depends on the nature of the material and is given by formula,
Here, magnetic moment, (since pole strength becomes half) and volume,
Therefore, the intensity of magnetization remains unaffected.