Call Now
1800-102-2727How many of you have seen a postman? Have you ever wondered how difficult it would be for him to locate people in a locality? What do you think could be done in order for the postman to find the concerned person with more ease.
I am sure you understand what is required. Well, the most easiest way for the postman to find someone would be to know the concerned person’s address which includes the name of the state, district, village, house no, etc.
Going by the same thinking in the what way one can locate electrons present in an atom?
To help our problems, Schrodinger gave an answer. He formulated a set of numbers required to define an electron completely in an atom is more or like an address. These numbers specify the energy, size, shape, and orientation of the electron present in an orbital.
So lets dive in and study what these numbers are.

Table of contents
The Four quantum numbers are
First three quantum numbers have been derived from the Quantum Mechanical Model (Schrodinger wave equation).
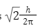
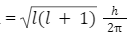
Angular momentum of orbit =
n = 2 means electron present in 2nd shell (L Shell)
Note: the number of shells possible in an atom is infinite.
|
Letter code (subshell) |
Value of l |
|
s |
0 |
|
p |
1 |
|
d |
2 |
|
f |
3 |
Value of l:
Value of l depends on value of n = 0 to (n - 1)
For n = 1, value of l = 0 (means 1st shell contains only one subshell (1s subshell)
For n = 2, value of l = 0 and 1 (means 2nd shell contains two subshell (2s & 2p subshell)
For n = 3, value of l = 0,1 and 2 (means 3rd shell contains three subshell (3s, 3p & 3d subshell)
For n = 4, value of l = 0,1, 2 and 3 (means 4th shell contains four subshell (4s, 4p, 4d & 4f subshell)
Maximum number of orbitals in a subshell = 2l+1
Maximum number of electrons in a subshell = 2(2l+1)
|
subshell |
Maximum number of orbitals |
Maximum number of electrons |
|
S (l = 0) |
1 |
2 |
|
p (l = 1) |
3 |
6 |
|
d (l = 2) |
5 |
10 |
|
f (l = 3) |
7 |
14 |
Magnetic quantum numbers describe orientation in space of an orbital of a given energy and shape. It also gives numbers of the orbitals present in a subshell.
The number of orbitals in a subshell = 2l + 1
Spin quantum numbers describe the orientation of the spin axis of an electron.
It can have values They are normally represented by arrows, up arrow (↿) and down arrow (⇂).
One electron has two spin values so one orbital contains a maximum of two electrons.
Video link:
JEE Chemistry Concepts Explained | The Quantum Mechanical Model Made Easy
Q1. What is the total number of orbitals associated with the principal quantum number n = 4 ?
(A) 15
(B) 16
(C) 17
(D) 18
Answer: (B)
Solution:
For, n = 4
|
Principal quantum no (n) |
Azimuthal quantum no (l) |
Magnetic quantum number (m) |
4 |
0 (s subshell) |
0 (1 orbital) |
|
1 (p subshell) |
-1, 0 & +1 (3 orbitals) |
|
|
2 (d subshell) |
-2, -1, 0, +1 & +2 (5 orbitals) |
|
|
3 (f subshell) |
-3, -2, -1, 0, +1, +2 & +3 (7 orbitals) |
Total numbers of orbitals: 1 + 3 + 5 + 7 = 16
OR
We could approach this question like
Number of orbitals present in nth shell = n2
So for n=4, the number of orbitals would be equal to 42 which is 16.
Q2. Orbital angular momentum of an electron in a particular subshell is then find the maximum number of electrons which may be present in this subshell.
A. 2
B. 6
C. 10
D. 14
Answer: (B)
Solution: we know, Orbital angular momentum
For given information ,for
l = 1, means p subshell, it contains a maximum of 6 electrons in 3 orbittals.
Q3. Which of the following orbital is not possible
(A) 6f
(B) 5f
(C) 4f
(D) 3f
Answer: (D)
Solution: if, n = 3
l = 0,1 & 2
Possible orbitals are 3s, 3p and 3d
For f orbitals at least
Q4. Which of the following represent the correct sets of the four quantum numbers n, l, m & srespectively of a 4d electron
Question 1. Quantum number derived from which equation.
Answer: three quantum numbers (principal, azimuthal & magnetic quantum number)are derived from Schrodinger wave equation.
Question 2. Which quantum number is not derived from the Schrodinger wave equation?
Answer: Spin quantum number is not derived from Schrodinger wave equation. The basis of determining electron spin is electron has a magnetic field due to its spin. When electrons that have opposite spins are put together, there is no net magnetic field because the positive and negative spins cancel each other out. It was first discovered by Otto Stern and Walter Gerlach in 1925.
Question 3. What is a quantum number?
Answer: The set of four numbers required to define an electron completely in an atom are called quantum numbers.
Question 4. What is the difference between orbit and orbital angular momentum?
Answer: Orbit angular momentum:
Orbital angular momentum
Question 5. Which electronic rotation is responsible for spin magnetic moment?
Answer: Spin magnetic moment arises due to axial rotation of electrons not due to orbital rotation.
Related Topics:
|
Millikan’s oil drop experiment |
Stability of electronic configuration |
|
Dalton atomic theory |
Electromagnetic radiation |
|
Shapes of atomic orbitals |
Electronic configuration of atoms |