•  
agra,ahmedabad,ajmer,akola,aligarh,ambala,amravati,amritsar,aurangabad,ayodhya,bangalore,bareilly,bathinda,bhagalpur,bhilai,bhiwani,bhopal,bhubaneswar,bikaner,bilaspur,bokaro,chandigarh,chennai,coimbatore,cuttack,dehradun,delhi ncr,dhanbad,dibrugarh,durgapur,faridabad,ferozpur,gandhinagar,gaya,ghaziabad,goa,gorakhpur,greater noida,gurugram,guwahati,gwalior,haldwani,haridwar,hisar,hyderabad,indore,jabalpur,jaipur,jalandhar,jammu,jamshedpur,jhansi,jodhpur,jorhat,kaithal,kanpur,karimnagar,karnal,kashipur,khammam,kharagpur,kochi,kolhapur,kolkata,kota,kottayam,kozhikode,kurnool,kurukshetra,latur,lucknow,ludhiana,madurai,mangaluru,mathura,meerut,moradabad,mumbai,muzaffarpur,mysore,nagpur,nanded,narnaul,nashik,nellore,noida,palwal,panchkula,panipat,pathankot,patiala,patna,prayagraj,puducherry,pune,raipur,rajahmundry,ranchi,rewa,rewari,rohtak,rudrapur,saharanpur,salem,secunderabad,silchar,siliguri,sirsa,solapur,sri-ganganagar,srinagar,surat,thrissur,tinsukia,tiruchirapalli,tirupati,trivandrum,udaipur,udhampur,ujjain,vadodara,vapi,varanasi,vellore,vijayawada,visakhapatnam,warangal,yamuna-nagar

Law of Mass Action- Law, Equilibrium constant, Characteristics, Applications. Practice Problems and FAQs

Law of Mass Action- Law, Equilibrium constant, Characteristics, Applications. Practice Problems and FAQs

You know well that hydrogen (colourless) combines with iodine (violet) to form hydrogen iodide (colourless). Initially, the jar is violet-coloured as observed from the gif. But after some time, the violet colour of the first jar decreases. What do you infer from this?

You are right, that the violet colour indicates that there is iodine present in it. So hydrogen iodine can combine to a certain extent to form HI but not completely. Why not? 

Because HI also will decompose back to its elements partially, whatever may be the reactants you start with, finally there will be reactants and products at certain fixed concentrations. This constancy due to the simultaneous existence of opposing changes is called equilibrium. Then you may ask what will be the concentration of them? How it is fixed?

The answer is given by the Law of Mass Action. Come let us learn about it.




Table of Content

  • Law of Mass Action
  • Equilibrium Constant
  • Characteristics of Equilibrium Constant
  • Dependence of Equilibrium constant on temperature
  • Application of Equilibrium Constant
  • Practice Problems
  • Frequently Asked Questions

Law of Mass Action

Law of Mass Action says that higher the mass of the reactants larger the number of molecules reacting to form the product.

“The rate of a chemical reaction is proportional to the product of the active masses of reactants raised to the powers of their stoichiometric coefficients at a given temperature, according to this law.”

The active mass of a reaction is defined as the effective number of reacting species participating in the process. 

Equilibrium Constant

Consider a chemical reaction

image

According to the law of mass action

image

Where [A] and [B] are the concentrations of reactants A and B, respectively, and r is the reaction rate.

When the proportionality sign is removed,

image

Where K = Rate Constant

Consider a chemical reaction

aA+bB⇌cC+dD

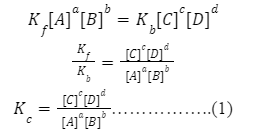
According to the law of mass action,

For forward reaction; rf=Kf[A]a[B]b

Where Kf = rate constant for forward reaction

For backward reaction; rb=Kb[C]c[D]d

Where Kb = rate constant for backward reaction

At equilibrium, the rate of the forward reaction = the rate of backward reaction

rf=rb

image

Kc is the equilibrium constant.

Note: A pure solid or pure liquid has a constant concentration.

Equilibrium Constant in terms of Partial Pressure

Consider partial pressures of A, B, C, and D as pA, pB, pC, and pD, respectively.

image

KP is the equilibrium constant.

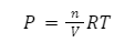
Relationship between KP& KC

From the ideal gas equation, PV=nRT

image

image

 

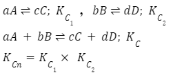
Characteristics of Equilibrium Constant for a related equilibrium

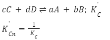
Consider a reaction: aA+bB ⇌ cC+dD with; KC

When a reaction is reversible, the new equilibrium constant KCn' is the reciprocal of the old one.

image

The value of the KCn'' equals the KC raised to the power n when a reaction is multiplied by a factor 'n'.

naA+nbB ⇌ ncC+ndD; KC'

KCn'=(KC)n

The KCn' is the product of the KCs when two or more equilibrium reactions are added

image

The KCn' is the ratio of the KC when two or more equilibrium reactions are subtracted.

image

Dependence of Equilibrium constant on temperature

The value of the equilibrium constant KC, for a particular process has been demonstrated experimentally to be solely dependent on temperature. The addition of reactants or products, changes in pressure, or the application of catalysts has no effect on it.

  • In exothermic processes, the value of KC drops as temperature rises.
  • In endothermic reactions, the value of KC rises as temperature rises.

(explained by using Le Chatelier’s Principle)

Application of Equilibrium Constant

1. It aids in the computation of reactant and product equilibrium concentrations.

Consider a reaction in which initial concentrations of reactant A are given [Ao] and volume V. We have to calculate the concentration of reactant A and product B at equilibrium

image

We can calculate x using the values of KC, V, and [Ao]. As a result, the equilibrium constant can be used to compute the reactant and product equilibrium concentrations.

2. The equilibrium constant can be used to estimate the extent of the reaction.

Consider a reaction; R ⇌ P

image

Case 1: When KC>103

Hence, [P]>>>[R]

It signifies that virtually all of the reactant has been transformed to product, indicating that the reaction is nearing conclusion.




Case 2: When KC<10-3

Hence, [P]<<<[R]

This indicates that only a small amount of reactant has been converted to product, implying that the reaction is barely proceeding.




image

Case 3: When 10-3<KC<103

The concentration of both the reactant and the product is appreciable, indicating that the reaction has progressed to a significant degree.




3. The equilibrium constant can also be used to determine the reaction's direction.

Reaction Quotient (Qc)

The reaction quotient is the ratio of the concentration or pressure of the products to the reactants at any stage during the reaction (whether the reaction is at equilibrium or not).

Consider a reaction: aA+bB ⇌ cC+dD 

image

Case-1: Qc>Kc then, to attain equilibrium, Qc will need to be reduced. In other words, the concentration of the reactants should rise while the concentration of the products falls. As a result, the equilibrium moves in the backward direction.

Case-2: Qc=Kc the reaction is already at equilibrium.

Case-3: Qc<Kc then, in order to attain equilibrium, Qc will need to be increased. In other words, the concentration of the reactants should drop while the concentration of the products should rise. As a result, the equilibrium shifts in the forward direction.



Practice Problems

Q1. Why is the concentration of a pure solid or pure liquid assumed to be constant?

Consider density (p) (in gmL-1) as the pure solid and liquid density. Then,

image

Mass = m=V

The number of moles in a pure solid or liquid is calculated as follows:

image

Volume of the solution = volume of the solvent (for pure liquid). 

The molarity of the solution is calculated as

image

  • The molar mass of any pure solid or liquid is always constant.
  • The density of any pure solid or liquid is always constant.

As a result, for any pure solid or liquid, the molarity or concentration is always constant.

Q2. Can KP be equal to KC?

image

image

Hence, if image; the number of moles of reactant is equalled to several moles of products then KP can be equals to KC

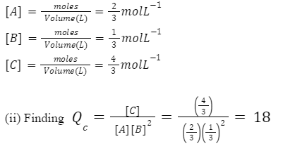
Q3. At 298 K, A +2 B ⇌ C. KC= 18. In a 3 L jar, there are 2, 1, and 4 mol of A, B, and C respectively. At the same temperature, what will happen to the reaction?

(A) Moves in the forward direction. 
(B) Moves in the backward direction.
(C) Maintain a state of balance 
(D) Impossible to anticipate

Solution: 

(i) Finding concentrations:

image

Qc=Kc the reaction is already at equilibrium or maintains a state of balance.

Hence, the correct option is (C).

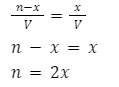
Q4. In a one-litre tank at 250°C, the reaction A(g) + B(g) ⇌C(g) + D(g) is investigated. The starting concentrations of A and B were 3n and n, respectively. The equilibrium concentration of C was found to be identical to the equilibrium concentration of B when equilibrium was reached. What is the equilibrium concentration of D?image

was determined to be equal to B's equilibrium concentration, as given.

[B]=[C]

image

image

Frequently Asked Questions

Question 1. In chemistry, what is an effective concentration?
Answer: 
Effective concentration means the concentration which is actually participating in the reaction. For example, if the reactant has 8 moles at initial and at equilibrium only 3 moles are remaining. That means the effective concentration is with respect to 3 moles.

Question 2. Why do we always use square brackets to represent the concentration at equilibrium?
Answer: The square bracket represents the effective concentration or active mass of a reactant which is actually participating in the reaction. This is the reason to put the square brackets.

Question 3. What is the application of the Law of mass action in science?
Answer: This law also applies to semiconductors; it has several major consequences in the domains of electronics and semiconductor physics. When the semiconductor system is in thermal equilibrium, the law of mass action gives a link between the concentrations of electron holes and free electrons.

Question 4. What is the reaction quotient Q at the beginning of the reaction when two reactants A and B are combined to produce products C and D?
Answer: Initially, the concentration of products C and D are zero as the reaction has not started yet.

image

Related Topics

Le Chatelier's Principle

Physical equilibrium-Solid Liquid Equilibrium, Liquid-Vapour Equilibrium, Solid-Vapour Equilibrium

Chemical Equilibrium-Types of Equilibrium

Reversible and Irreversible reactions

Vant Hoff's Equation

NEET Related Links

NEET Exam 

NEET  Exam Dates

NEET  Exam pattern

NEET  Syllabus

NEET  Eligibility Criteria

NEET  Application

NEET UG Counselling

NEET FAQ

NEET UG Result

NEET  Cut Off

JEE MAIN Related Links

JEE Main 

JEE Main Rank Predictor 

JEE Main College Predictor 

JEE Main  Exam Dates

JEE Main  Exam pattern

JEE Main  Application

JEE Main  Eligibility Criteria

JEE Main  Syllabus

JEE Main  Physics Syllabus

JEE Main  Maths Syllabus

JEE Main  Chemistry Syllabus

JEE Main  Admit Card

JEE Main  Counselling

JEE Main marks vs rank vs percentile

JEE Advanced Related Links

JEE Advanced  Exam Dates

JEE Advanced  Application

JEE Advanced  Eligibility Criteria

JEE Advanced  Syllabus

JEE Advanced  Maths Syllabus

JEE Advanced  Physics Syllabus

JEE Advanced  Chemistry Syllabus

JEE Advanced Exam Result

JEE Advanced Exam Dates

JEE Advanced Registration Dates

CUET Related Links

CUET  Eligibility Criteria

CUET  Admit Card

CUET  Exam Pattern

CUET  FAQs

CUET  Counselling

CUET  Syllabus

CUET  Result

CUET  Answer Key

CUET  Preparation

CUET CUTOFF

CUET  Application Form

Important Topics

Talk to our expert
Resend OTP Timer =
By submitting up, I agree to receive all the Whatsapp communication on my registered number and Aakash terms and conditions and privacy policy