Call Now
1800-102-2727Which is your favorite game? Cricket, football, hockey?
What ever be the game, involving many players, each member is selected for their unique capability. Flying sikh-Milkha singh, master blaster- Sachin, captain cool-Dhoni for example. The result of course, depends on the over all performance of not only this team but also of the opposite team.
Imagine a football match being played between two teams. Each team has 11 players. All of them do not have same capability. Some are good at forward position, some provide strong defense and goal keeper will be unique. Together they shall win match. Any weakness in them will be utilized by the opponent to win over. A stronger team is one with players having specialized skills and free to exhibit their full talents. A weak team will have not experienced players and depend on others for support.
So, there are two things to take account in a team performance.- individual strength and collective strength.
Similarly, in electrochemistry, we come across two types of electrolytes, strong and weak electrolytes. We know that strong electrolytes dissociate almost completely in solution whereas weak electrolytes don’t dissociate completely but partially.
The individual ions are totally free to contribute in strong electrolytes but not so in weak electrolytes.
It is very easy to calculate the limiting molar conductivity of the strong electrolytes. But it is not that feasible in weak electrolytes.
To address the above problem Kohlrauch’s law was introduced. Let’s understand the concept of
Kohlrauch’s law and its application.
Table of content
Conductance is the ability to pass current through. Molar conductance is the conductance shown by one molar substance in a cell of unit cell constant.
a. The molar conductance magnitude differs greatly between strong and weak electrolytes.
b. The Molar conductance variation on dilution is quite opposite between strong and weak electrolytes.
c. Molar conductance of strong electrolytes is not a constant and slightly increases with dilution to reach a limiting value and does not show any changes on further dilution. This molar conductivity is considered as the molar conductivity infinite dilution and marked as 0m. which is unique for each ion.
Kohlrausch law states that:
“The limiting molar conductivity of an electrolyte (i.e. molar conductivity at infinite dilution) is the sum of the limiting ionic conductivities of all cations and all anions present in one formula unit of the electrolyte.”
Kohlrausch studied the molar conductivities of an electrolyte at various dilutions with water.. He measured 0m for a number of pairs of strong electrolytes, having a common cation or anion and calculated the differences of these values for each pair.
It is observed that the difference between 0mvalues for each pair (say NaCl and KCl, NaBr and KBr) of salts having a common anion was same, irrespective of what this anion was. Similarly, the difference in the 0mvalues for each pair of salts having the different anions and a common cation was also same, irrespective of what this cation was.
On the basis of the above observation, Kohlrausch concluded that each ion makes a definite contribution to the total molar conductivity of an electrolyte at infinite dilution, irrespective of the nature of the other ion of the electrolyte. Molar ionic conductivity refers to an ion's individual contribution to the electrolyte's total molar conductivity. As a result of these studies, Kohlrausch in 1876 put forward a generalization, known after him as 'Kohlrausch law.
Mathematically,

Kohlrausch's law is defined as follows in terms of equivalent conductivities:
At infinite dilution, an electrolyte's equivalent conductivity is the sum of two values, one for the cation and the other for the anion.i.e.,

The limiting ionic conductivities for the cation and anion, respectively, are 0cand 0a
Calculation of 0eqfrom 0m values of ions: A few examples are given below :


Where n+= the charge on the cation
n-=the charge on the anion
+= stoichiometric number of cation in one formula uni of electrolyte
-= stoichiometric number of anion in one formula unit of electrolyte
![]()
For example:
for the salt, sodium potassium oxalate, equivalent conductivity 0eq is related to molar conductivity as,

As total number of charge on cation = total number of charge on anion = 8
1. Calculation of molar conductivity at infinite dilution (0m) for weak electrolytes.
A weak electrolyte's molar conductivity at infinite dilution cannot be determined experimentally, for several reasons. At first, the conductance of such a solution is low and increases rapidly with dilution. Second, even at very high dilutions, the dissociation of such an electrolyte is incomplete. Kohlrausch's law can be used to calculate the molar conductivity of such an electrolyte at infinite dilution.
Consider acetic acid (CH3COOH), which is a weak electrolyte.

2. Calculation of the Degree of Dissociation
According to the Arrhenius theory of electrolytic dissociation, the increase in molar conductivity with dilution is entirely due to an increase in electrolyte dissociation, with the molar conductivity at infinite dilution being the highest because dissociation is nearly complete. As a result, if cmis the molar conductivity of a solution at any concentration c and 0m is the molar conductivity at infinite dilution (i.e., zero concentration), then at concentration c,
Degree of dissociation ()=mcm0
This relationship, however, is only valid for weak electrolytes.
3. Calculation of a weak electrolyte's dissociation constant
Knowing the degree of dissociation, a (as calculated above), the dissociation constant (K) of the weak electrolyte like CH3COOH or NH4OH at concentration c of the solution can be calculated using the formula,
Kc=C21-
4. Calculation of a sparingly soluble salt's solubility
Sparingly soluble salts are salts that dissolve only slightly in water, such as AgCl, BaSO4, and PbSO4. Their solutions are considered infinitely dilute because they dissolve very little. Their concentration is also equal to their solubility because their solutions are saturated. Thus, the specific conductivity () and molar conductivity (m) of such a solution can be determined. we have

Q1. At 288K, The conductivity of AgCl (saturated solution) is observed to be 1.38210-6 S cm-1. determine its solubility. Given ionic conductance of Ag+ and Cl- at infinite dilution are 61.9 S cm2 mol-1 & 76.3 S cm2 mol-1 respectively.
Solution:

Q2. At 291 K, the molar conductivities of NH4Cl, NaOH, and NaCl at infinite dilution are 129.8, 217.4, and 108.9 S cm2, respectively. What is the percentage dissociation of NH4OH at this dilution if the molar conductivity of a decinormal solution of NH4OH is 9.33 S cm2? Calculate the NH4OHdissociation constant as well.
Solution: Here, we are given : 0 for NH4Cl = 129.8 S cm², 0for NaOH = 217.4 S cm²,0 for NaCl = 108.9 S cm²
By Kohlrauch’s law,

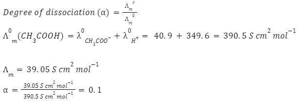
Q.3 If the molar conductivity of acetic acid is 39.05 S cm2 mol-1, calculate the degree of dissociation?
Solution: Degree of dissociation ()=mcm0

Q4. What is the molar conductivity of acetic acid (HAc) at infinite dilution if the conductivities of NaCl, HCl, and CH3COONa (NaAc) are 126.4, 425.9, and 91.0 S cm2mol-1, respectively?
Solution: According to Kohlrausch’s law,

Answer: Kohlrausch's law of independent migration asserts that in the limit of infinite dilution, each ionic species contributes to the conductivity of the solution that is solely reliant on the nature of that particular ion and independent of the other ions present.
Q 2. What do you understand by infinite dilution?
Answer: When more solvent is added, the concentration does not change. This is known as infinite dilution. The notion of infinite dilution is used in chemistry to examine how chemicals dissolve in various solvents.
Q 3. What is the need of Kohlrauch’s law?
Answer: Any electrolytes limiting molar conductivities can be calculated using the Kohlrausch law. Weak electrolytes have lower molar conductivities and a lower degree of dissociation at higher concentrations.
Related topic
|
Types of Electrodes |
Faraday's Laws |
|---|---|
|
Electrical conductivity |
Electrolysis |
|
Standard Electrode Potential |
Nernst Equation |