Call Now
1800-102-2727I guess all of you must have boarded the train once in your life. During summer vacations, usually, a large number of passengers board the train maybe twice of its actual capacity. Due to overcrowding, what happens? You start feeling hot, you start sweating. But why? It is because the kinetic energy of the particles of the body is increased. A similar observation can be seen when you start heating a gas enclosed in a container, particles will start moving faster and kinetic energy of the particles will be increased and particles will start striking the wall with more speed.
Now, let’s try to understand what exactly is happening at the molecular level. By the late 18th century a theory was proposed, that studied the gas particles at the micro-level, which is known as the Kinetic Molecular Theory of Gases. The behaviour of the gas molecules was shown in the form of a mathematical equation to explain different phenomena such as thermal conductivity, Brownian motion etc of the gas.

Topics of contents
In 1738, Bernoulli proposed the generalisation of an ideal gas and kinetic gas theory was further developed in the year 1859 by Maxwell & Boltzmann by giving a mathematical equation to explain the behaviour of gases and gas laws. This theory is strictly applicable only to the hypothetical substance known as “ideal gas”. This theory basically relates the macroscopic properties like temperature, pressure, and volume to the behaviour of the individual particles which were described by the microscopic properties of gases. So, the kinetic theory of gases is basically a theoretical model of ideal gas described by Boyle, Charles, Gay-Lussac and Avogadro. Since it is a theoretical model, it is based on certain assumptions, which are:


Let us consider a certain amount of gas which is enclosed in a cubic box at a specific temperature.
Assuming;
Length of each side of the box =l
Velocity of a molecule =u
Total number of gas molecules =N
Mass of one molecule =m
Consider the movement of a single molecule between the opposite faces A and B parallel to the X-axis. Such that when the molecule strikes one wall it bounces back with the same speed and subsequently strikes the opposite wall.
Considering the X-component velocity of a molecule and we have;
Momentum of the molecule before the collision with wall A = mux
Where, ux is the velocity of the molecule in X-axis.
Momentum of the molecule after the collision with wall A = -mux
Change in momentum after one collision = (-mux)-mux=-2mux
Considering only magnitude, Change in momentum after one collision =-2mux
Distance covered by the molecule after two subsequent collisions =2 l
Time between two subsequent collisions on face ![]()
number of collisions per second ![]()
Total change in momentum per second due to impact on the wall A of on molecule:

According to Newton’s second law of motion;
Force = rate of change of momentum
Hence, the total force due to impacts of a single molecule with the wall A of the container 
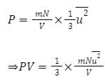
The area of the wall is l2.
Hence, the pressure exerted due to the collision of X-component velocity of a single molecule with the wall ![]()
Where, V is the volume of the container.
Now, each molecule will exert similar pressure.
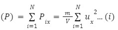
The total pressure exerted by all the molecules on the wall A 
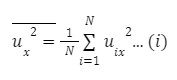
Defining mean square speed 

We can write from the equation (i) and (ii);

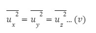
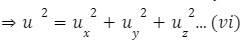
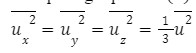
Since the direction x, y and z are equivalent;

Now,
Let the final resultant velocity of a molecule on all the three directions be u.

Comparing equation (v) with the equation (vi) we get,

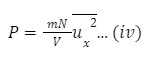
Substituting the value of ux2 in equation (iv);

This equation is known as a kinetic gas equation.
Let “N” be the number of gas molecules.
The kinetic equation of a gas can be represented as;

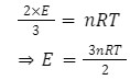
Multiplying and dividing the kinetic gas equation by 2, we get;

Average kinetic energy can be expressed as (KE) =12mu2
Substituting the value of KE in equation (viii), we get;

Where, “E” represents the total kinetic energy of “N” molecules of the gas.
Using the ideal gas equation of the gas,
PV=nRT....(x)
Comparing equation (ix) and (x), we get;

For one mole of the gas (n=1);

Since the number of molecules in one mole is Na (Avogadro’s number).

Where k is the Boltzmann constant. The value of k can be calculated as;
So, it is then proved from the above equation that;
Q 1. The ratio of the average kinetic energy of nitrogen and oxygen gas at room temperature is:
a. 3:2
b. 2:3
c. 1:1
d. 7:8
Answer: C
Using the kinetic equation of gas and the ideal gas equation we know that,

As we can see from the equation that the average kinetic energy depends only on temperature. Therefore, different gases at the same temperature will have the same value of average kinetic energy. Hence the ratio of the average kinetic energy of nitrogen and oxygen gas at room temperature is 1:1.
Q 2. What will be the total kinetic energy of 3.2 gm O2 gas at 298 K?
a. 85.8 J
b. 120 J
c. 35.5 J
d. 371.6 J
Answer: (D)
Using the kinetic equation of the gas and the ideal gas equation, we know that;

According to given data;
Number of moles of oxygen gas = ![]()
Temperature of the gas =298 K
Putting the values in the equation, we get;
![]()
E=371.63 J
Q 3. Which of the following postulate of the kinetic theory of gas is incorrect?
a. Volume occupied by the individual gas molecule is negligibly small in comparison to the total volume of the container in which it is kept.
b. There are no interactions present between the molecules of the gas present in the container.
c. All the molecules move in a definite direction and it only changes when it collides with another molecule or with the wall of the container.
d. The average kinetic energy of the gas is inversely proportional to the absolute temperature of the gas.
Answer: (D)
Postulates of the kinetic theory of gases include:
So, the correct answer is option (D).
Q 1 . What are the limitations of the kinetic theory of gases?
Answer: Kinetic theory of the gas molecules holds true concerning the ideal nature of the gas ( i.e there are no interactions present between the molecules of a gas and the volume of the molecule is negligible in comparison with the total volume of the gas present in the container). This can’t be true for gas to always behave ideally. So, this was the limitation of the kinetic theory of gas.
Q 2. What is the mean free path of the molecule and Brownian motion?
Answer: Mean free path represents the average distance travelled by the object between its collisions. Whereas, Brownian motion represents the zig-zag motion due to constant collision with other fast-moving molecules.
Q 3. Why does kinetic theory fail to explain the behaviour of real gases?
Answer: There are several assumptions made by the kinetic theory of gases, a few of them are listed below:
Now, the kinetic theory was based on these assumptions but these are only true in the case of an ideal gas. For a real gas, we can’t say there are no interactions among particles of gas and we are not counting the volume occupied by the molecules. So, these were the reasons why kinetic theory failed to explain the behaviour of real gases.
Q 4. What are the different types of molecular speeds?
Answer: Based on the Maxwell Boltzmann distribution of gas there are three types of molecular speed in the gas molecules- root mean square speed (Ur.m.s), the average speed of the gas molecule(Uavg) and most probable speed (Ump).
Related topics
|
Maxwell-Boltzmann Distribution Curve |
Gay-Lussac’s Law |
|
Avogadro’s Law |
Dalton's Law of Partial Pressure |
|
Ideal Gas Equation |
Real Gas |