Call Now
1800-102-2727If you want to make a cake, you have to buy ingredients. So, you will work out the price of the ingredients and the total cost of making a cake.
Again the cost of the cake will differ on the price of ingredients which again depends on your location- Delhi or Bombay or Bangalore. How will you keep the cost the same irrespective of your location? Simply procure them from one place and use them. So, you have standardized the cost of making a cake.
The same is the case when molecules are formed from their elements. Let us look more closely.
Table of contents
I want to make methane, the simplest hydrocarbon containing carbon and hydrogen only.
C + 2H2 → CH4
The energy released during the formation of one-mole methane from its elemental reactants, Carbon and Hydrogen is called the Enthalpy of formation.
But there are many types of carbon(allotropes). The energy needed or released changes with the carbon, and hydrogen selected and the C-H bond is formed. Both carbon and hydrogen exist in many varieties called allotropes.
The term 'allotrope' refers to one or more chemical element physical forms that exist in the same physical state. Chemical and physical properties may differ amongst allotropes.


Fixing the carbon and Hydrogen and conditions of preparation fixes the energy involved in the formation of methane. This is called standardizing the formation of methane.
Standard enthalpy of formation is the increase in enthalpy that occurs during the creation of one mole of a compound from its constituent elements with all substances in their standard states, and at 1 bar of pressure.
Reference state is defined as the most stable state of aggregation of substances at 25oC and 1 bar pressure. For example, the reference state of both dihydrogen (H2) and dioxygen (O2) is gas. Similarly carbon and sulphur are Cgraphite and Srhombic solids, respectively.
All elements in their naturally available states are supposed to be in standard conditions and assumed to have zero enthalpies of formation. Examples are oxygen gas, solid carbon in the form of graphite, etc.
For all elements in their reference state, i.e., their most stable state of aggregation, the standard enthalpy of formation
is zero.

The standard enthalpy is written as
, with the subscript 'f' indicating the formation and the superscript on H in fHo indicates the standard state, that one mole of the compound was produced from its stable states at atmospheric conditions.
Carbon has three allotropic forms, namely graphite, diamond and fullerene. The standard enthalpy of formation
is zero for graphite, whereas the standard enthalpy of formation
is greater than zero for diamond and fullerene. The standard enthalpy of formation
of dioxygen is zero, whereas the standard enthalpy of formation
of ozone is non-zero. Because the standard enthalpy of formation is zero for the most stable allotrope.
Standard enthalpy of formation: Example:
The following equation describes the production of one mole of ammonia (NH3) at room temperature from its main constituents, nitrogen (N2) and hydrogen (H2), in their most stable conditions, the gaseous state:
![]()
In its most stable stage, the gaseous state, the synthesis of one mole of hydrogen chloride (HCl) from its constituent elements, hydrogen (H2) and chlorine (Cl2), is given as,
![]()
The molar enthalpies of reactants and products can be used to calculate the standard enthalpy of formation of hydrogen chloride as per Hess law.
![]()
Where Hmo is the molar enthalpy.
Q 1. Calculate the standard heat of production of carbon disulfide, given that the standard temperatures of combustion of carbon (s), sulphur (s), and carbon disulfide (l) are respectively 390.0, 290, and 1100.0KJmol-1.
Answer: ![]()

Q 2. Which of the following equations is the proper representation of the standard enthalpy of C H4 formation?
a. C(diamond, s) + 2 H2 (g)CH4(g)
b. C(coal, s) + 2 H2 (g)CH4(g)
c. C(graphite, s) + 2 H2 (g)CH4(g)
Answer: CH4 is formed from its constituent elements. The elements should be in their most stable or reference states, and the compound created should be 1 mole.
The most stable state of carbon aggregation is graphite. The gaseous state of hydrogen is the most stable, and the CH4 created is one mole in the gas phase.
As a result, the option is the proper response (C).
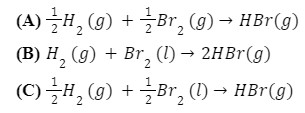
Q 3. At room temperature, which of the following equations accurately describes the typical enthalpy of production of HBr?

Answer: (A) The reference state for hydrogen is the gaseous state, but the reference state for Br2 is the liquid state, not the gaseous state, hence this option is incorrect.
(B) Although hydrogen is in the gaseous state and Br2 is in the liquid state, the amount of compounds generated as a result, HBr, is two moles, hence this choice is incorrect.
(C) Hydrogen is in the reference state of the gaseous state, while Br2 is in the reference state of the liquid state. This choice is valid since the amount of compound generated as a product, i.e. HBr, is one mole.
As a result, the option is the proper response (C).
Q 4. Calculate the heat of acetic acid production using the given information.

Answer: ![]()

Q 1. What is the difference between standard reaction enthalpy and standard formation enthalpy?
Answer: The enthalpy transition that occurs when one mole of a compound is formed from its constituents is known as the normal formation enthalpy. The typical reaction enthalpy occurs in a system where a chemical reaction changes one mole of matter.
Q 2. Is it possible for the Enthalpy of Formation to be Negative or Positive?
Answer: It may be negative or positive. If the heat is absorbed from the reference system, then the Enthalpy of formation is positive and the process is endothermic. If the heat is released from the reference system, then the Enthalpy of formation is negative and the process is exothermic.
Q 3. The standard enthalpy of formation is 0 for the most stable allotrope. Is there any exception to this statement?
Answer:Phosphorus is an exception to this rule; whereas black phosphorus is the most stable allotrope, white phosphorus has a standard enthalpy of formation of zero.
Q 4. Can you tell me some real life examples of Enthalpy?
Answer: Refrigerator compressors and chemical hand warmers are both examples of enthalpy in action. Under constant pressure, both the vaporization of refrigerants in the compressor and the reaction to iron oxidation in a hand warmer cause a change in heat content.
Related Topics
|
Enthalpy of Neutralization |
Enthalpy of Combustion |
|---|---|
|
Enthalpy of solvation |
Thermodynamic Processes |
|
Entropy Calculation |
Hess law |