
The Moment of Inertia (MI) of a body is a measure of its resistance to rotational motion about a specific axis. It plays the same role in rotational motion as mass does in linear motion. A triangle is a plane figure with three sides and three angles. It can be equilateral, isosceles, or scalene, but in moment of inertia problems, we usually consider a uniform thin triangle with uniform mass distribution.
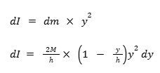
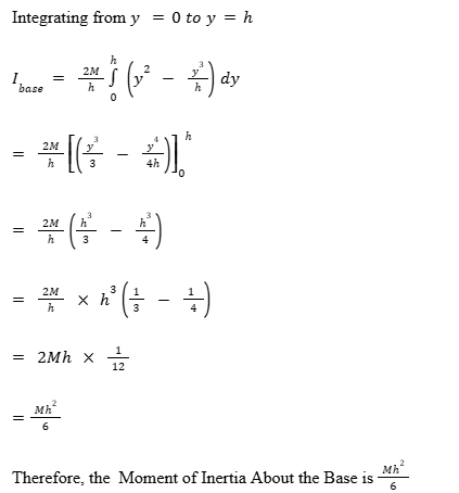
Consider a uniform triangle of base b, height h, and mass M.
From geometry, the mass per unit area (surface density) is:



Using the Parallel Axis Theorem:
Icentroid = Ibase − Md2

If the axis passes through the centroid and is perpendicular to the plane (like Iz), we use the Perpendicular Axis Theorem:
Iz = Ix + Iy
Where Ix is about the centroid parallel to the base, and Iy is about the centroid parallel to the height.
For a right-angled triangle, Iy can be calculated similarly, but for an equilateral or isosceles triangle, symmetry is used.
| Shape | Axis | Moment of Inertia |
|---|---|---|
| Triangle | Base in Plane | ![]() |
| Triangle | Parallel to the base | ![]() |
| Triangle | Through centroid | Ix + Iy |

Q1. Does the shape of the triangle affect the moment of inertia?
If height and mass are the same, the formula does not change. The triangle shape only changes the height and base.
Q2. Why is the moment of inertia smaller about the centroid than about the base?
It is smaller at the center because the triangle’s mass is closer to the axis, making it easier to spin.
Q3. Find the moment of inertia of a uniform triangular plate of mass 3 kg and height 0.6 m about its base.

JEE Main marks vs rank vs percentile
JEE Advanced Eligibility Criteria
JEE Advanced Chemistry Syllabus
JEE Advanced Registration Dates
Our expert will get in touch with you soon

