
The Moment of Inertia (MI) measures how much an object resists changes in its rotational motion about a given axis. It plays a similar role in rotational motion as mass does in linear motion. A solid cylinder is a three-dimensional object with a circular cross-section and uniform mass distribution. The moment of inertia depends on the axis of rotation.
Considering a cylinder of mass M, radius of base R, and length L. The following are the cases of moment of inertia for different axes:
Derivation:
Consider a thin solid cylinder and divide it into many thin circular discs stacked along its length.
The moment of inertia of one disc about its central axis (perpendicular to the flat face) is:

Since all discs have the same radius and are aligned, the total moment of inertia is:

We use the Perpendicular Axis Theorem for each disc element. For a disc:

Integrating along the length or directly using the formula for a solid cylinder:


| Shape | Axis | Moment of Inertia |
|---|---|---|
| Solid Cylinder | Central axis (longitudinal) | ![]() |
| Solid Cylinder | Perpendicular to length, through centre | ![]() |
| Solid Cylinder | Parallel to central axis, through rim | ![]() |

Q1. Does a solid cylinder have the same moment of inertia as a hollow cylinder?
No, a hollow cylinder has a greater moment of inertia for the same mass and radius because its mass is farther from the axis.
Q2. Which has a smaller moment of inertia, a cylinder with a small radius or a large radius?
A smaller radius gives a smaller moment of inertia, making it easier to rotate.
Q3. A solid cylinder has mass M = 4 kg and radius R = 0.5 m. Find its moment of inertia about the central axis.

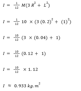
Q4. A solid cylinder has mass M = 10 kg, radius R = 0.2 m, and length L = 1 m. Find the moment of inertia about an axis perpendicular to its length and passing through the centre.

JEE Main marks vs rank vs percentile
JEE Advanced Eligibility Criteria
JEE Advanced Chemistry Syllabus
JEE Advanced Registration Dates
Our expert will get in touch with you soon


