
The Moment of Inertia (MI) is a property of a body that measures how much it resists rotational motion about a specific axis. It plays a role in rotational mechanics similar to mass in linear motion. A square is a flat, two-dimensional sheet with all sides equal in length and uniform thickness.
Considering a square of Side length a, Mass M, Uniform thickness and uniform density.
From the Perpendicular Axis Theorem, a flat body lying in the XY-plane:
Iz = Ix + Iy
where,
Ix - moment of inertia about an axis along one side through the centre
Iy - moment of inertia about the perpendicular side through the centre
For a square:
Ix = Iy because of symmetry
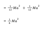
Also, the moment of inertia of a square about one of its central axes lying in the plane is:

So:
Iz = Ix + Iy

Therefore, the Moment of Inertia About an Axis Through Its Centre is 1/6 Ma2
When the axis lies along one edge of the square, we can use the Parallel Axis Theorem:
Iedge = Icentral parallel + Md2
where,

If the axis lies along a diagonal in the plane, we can use the perpendicular axis theorem again.
For a diagonal axis (say, X′-axis) lying in the plane:
The perpendicular distances of the mass elements from the diagonal are smaller compared to from a side, so the moment of inertia will be less.
From geometry and distribution:

| Shape | Axis | Moment of Inertia |
|---|---|---|
| Square | Centre, perpendicular to the plane | ![]() |
| Square | Along a side (edge) | ![]() |
| Square | Along a diagonal (in-plane) | ![]() |

Q1. Does the thickness of the square matter?
If it’s very thin, we treat it as 2D; otherwise, we need 3D analysis.
Q2. Is the moment of inertia about the centre always smaller than about the edge?
Yes, because more mass is farther from the axis in the edge case.
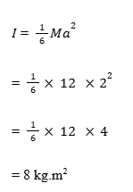
Q3.A square metal plate has a side length of 2 m and a mass of 12 kg. Find its moment of inertia about its centre, perpendicular to the plane.
Given: Mass = 12kg, Length = 2m

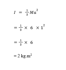
Q4. A square plate of side 1 m and mass 6 kg has its moment of inertia about one edge calculated.
Given: Mass = 6kg, Side = 1m

JEE Main marks vs rank vs percentile
JEE Advanced Eligibility Criteria
JEE Advanced Chemistry Syllabus
JEE Advanced Registration Dates
Our expert will get in touch with you soon


