
The Moment of Inertia (MI) is a property of a body that measures its resistance to rotational motion about a given axis. A solid sphere is a three-dimensional object where the mass is uniformly distributed throughout its volume. Due to its perfect symmetry, the moment of inertia of a sphere is the same about any axis passing through its centre.
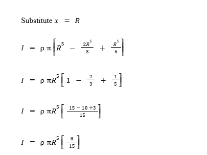
Considering a solid sphere of mass M and radius R. The following are cases for the moment of inertia of a sphere.
The sphere is divided into a stack of thin circular discs perpendicular to the axis of rotation. The radius of each disc changes depending on its position along the axis.
Volume Element
At a distance x from the centre, the radius of the cross-section is:







Q1. Why is the moment of inertia of a solid sphere smaller than that of a hollow sphere?
The moment of inertia is higher for a hollow sphere. Because in a solid sphere, more mass is concentrated closer to the axis, reducing resistance to rotation.
Q2. What role does symmetry play for the moment of inertia in a sphere?
Symmetry ensures that the moment of inertia is the same in all directions through the centre.
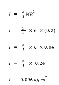
Q3. A solid sphere has a mass of 6 kg and a radius of 0.2 m. Find its moment of inertia about a diameter.

Q4. A solid sphere has a mass of 5 kg and a radius of 0.3 m. Find its moment of inertia about a tangent.

JEE Main marks vs rank vs percentile
JEE Advanced Eligibility Criteria
JEE Advanced Chemistry Syllabus
JEE Advanced Registration Dates
Our expert will get in touch with you soon