
In rotational motion, the Moment of Inertia (MI) plays the same role as mass in linear motion. While mass measures the resistance of a body to change in its state of linear motion, the MI measures the resistance of a body to change in its rotational motion. For a hollow cylinder, the mass is distributed away from the axis of rotation, which affects the movement of rotation.
The moment of inertia (I) is defined as:

where,
r - perpendicular distance of a small mass element from the axis of rotation
I - moment of inertia
Considering a hollow cylinder of -
Inner radius: R1
Outer radius: R2
Length/height: h
Mass: M
The hollow shape means the material exists only between two radii—inner radius 𝑅1 and outer radius 𝑅2.
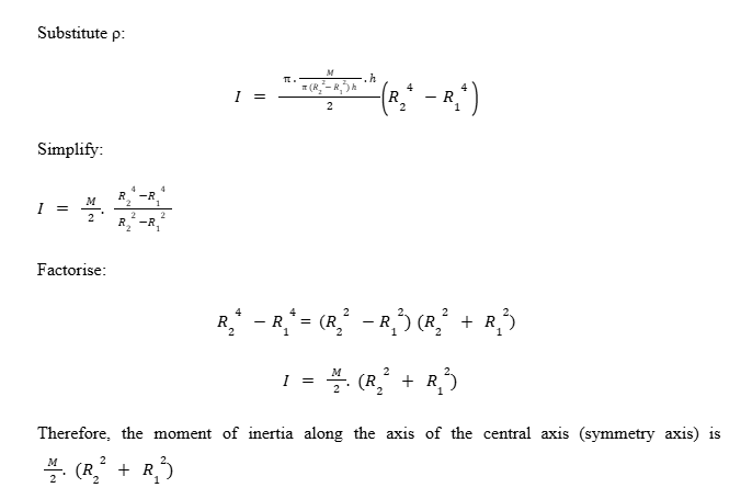
Consider the hollow cylinder rotating about its own central (longitudinal) axis, and consider a thin cylindrical shell at radius r with thickness dr.
Mass per unit volume-

Integrating:


The axis passes through the centre of the cylinder’s length but is perpendicular to its length (through its diameter). We use the perpendicular axis theorem and the parallel axis theorem.
For a solid disk:

If the hollow cylinder is thin (thickness negligible),
R1 ≈ R2 ≈ R
The formula reduces to:


Q1. What is the difference between the moment of inertia of a hollow cylinder and a solid cylinder?
A hollow cylinder has mass distributed farther from the axis, giving it a higher moment of inertia than a solid cylinder with the same mass and size.
Q2. Does increasing the inner radius affect the moment of inertia?
Yes, increasing R1 when R2 is constant reduces the moment of inertia because mass moves closer to the axis.
Q3. Find the moment of inertia of a thin hollow cylinder of mass 5 kg and radius 0.4 m about its central axis.
Given: M = 5 kg, R = 0.4 m
Icentral axis = M R2
Icentral axis = 5 × (0.4)2
= 0.8 kg·m2
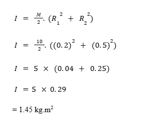
Q4. A hollow cylinder has R1 = 0.2 m, R2 = 0.5 m, and a mass of 10 kg. Find its moment of inertia about the central axis.

JEE Main marks vs rank vs percentile
JEE Advanced Eligibility Criteria
JEE Advanced Chemistry Syllabus
JEE Advanced Registration Dates
Our expert will get in touch with you soon