
In rotational motion, the moment of inertia (MI) has a similar role as mass has in linear motion. It calculates the difficulty of changing the rotational state of a body about a given axis. A cube is a three-dimensional solid with equal edges and right angles. Due to its symmetry, the moment of inertia changes with the axis.

where r is the perpendicular distance to the mass element dm from the axis of rotation.
Considering a cube of side a and mass M. The Moment of Inertia is calculated through the following cases:
When a cube is lying with one face horizontal, an axis passing through the centre of the cube and parallel to one edge is considered. The cube is divided into thin rectangular plates stacked along the perpendicular direction.
The moment of inertia of a thin square (side a, mass m) about an axis through its centre and parallel to one side is:

In the cube, the moment of inertia of each thin square is the same, and the distribution is uniform along the thickness.
Integration along the perpendicular axis gives the formula:

When the cube of side a and thickness a is rotated about its perpendicular central axis, its axis passes through the centre and is perpendicular to a face. From the perpendicular axis theorem (for the face) and parallel axis adjustments for thickness, the moment of inertia is:

For a cube, the MI about any of the three principal axes through the centre is the same due to symmetry.
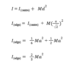
If the axis passes along one edge of the cube, we use the parallel axis theorem.
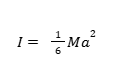
Moment of inertia through the centre parallel to the edge:

Applying the parallel axis theorem:



Q1. Is the moment of inertia the same for all principal axes of a cube?
Yes, due to the cube’s symmetry.
Q2. Why is the moment of inertia minimum along body diagonals?
For an axis along a body diagonal, the moment of inertia is minimum because mass is distributed closest to the axis.
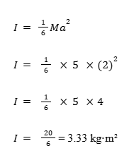
Q3. Find the moment of inertia for a cube with side a = 2 m and mass M = 5 kg about an axis through the centre and parallel to one face
Given: side a = 2 m, mass M = 5 kg

JEE Main marks vs rank vs percentile
JEE Advanced Eligibility Criteria
JEE Advanced Chemistry Syllabus
JEE Advanced Registration Dates
Our expert will get in touch with you soon