
The moment of inertia of a cylinder measures its resistance to rotational motion about an axis. It depends on mass distribution, radius, length, and axis position, and varies for solid and hollow cylinders due to different mass arrangements.
Consider a cylinder of Mass M, Radius R, and Length L. It also depends on the position of the axis of rotation and the distribution of mass.
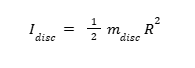
Divide the cylinder into many thin circular discs stacked along its length.
Moment of inertia of each disc about its central axis:

Summing for all discs:

Therefore, the Moment of Inertia About the Central (Longitudinal) Axis is ![]()
This axis passes through the midpoint and is perpendicular to the length.
Using perpendicular axis and integration:

For a hollow cylinder (thin-walled), mass is distributed at a distance R from the axis.
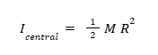
All mass is at distance R, so:
Icentral axis = M R2
If the inner radius is R1 and the outer radius is R2:

For a thin hollow cylinder:

For a thick hollow cylinder:
(derived using integration)
| Shape | Axis | Moment of Inertia |
|---|---|---|
| Solid Cylinder | Central axis along length | ![]() |
| Solid Cylinder | Perpendicular through the centre | ![]() |
| Thick hollow cylinder | Central axis | ![]() |
| Thin hollow cylinder | Central axis | ![]() |
| Thin hollow cylinder | Perpendicular through the centre | ![]() |
The moment of inertia of a cylinder represents its resistance to rotational motion, varying with shape (solid or hollow), radius, length, and axis position. Solid cylinders have mass distributed throughout, while hollow cylinders have mass on the outer surface. The concept is applied like flywheels, wheels, rollers, pipes, and drums for stability, motion control, and smooth industrial operations.
Q1. Why is the moment of inertia higher for a hollow cylinder than for a solid cylinder of the same mass and radius?
The moment of inertia for a hollow cylinder is greater because more mass is concentrated farther from the axis.
Q2. Which cylinder, solid or hollow, rolls faster down an incline?
A solid cylinder rolls faster down an inclined plane because it has a smaller moment of inertia.
JEE Main marks vs rank vs percentile
JEE Advanced Eligibility Criteria
JEE Advanced Chemistry Syllabus
JEE Advanced Registration Dates
Our expert will get in touch with you soon




