Call Now
1800-102-2727Inductance is the characteristic of an electric conductor (usually a coil or solenoid) which makes it oppose changes in the current passing through it. As the electric current passes through the conductor, it produces a magnetic field around it. Any change in the current causes a corresponding change in this magnetic field, which in turn induces an opposing voltage, resisting the change in current.
As per Faraday's Law of Electromagnetic Induction, a varying magnetic field induces an electromotive force (emf) in the conductor. This induced emf opposes the change in current (as stated by Lenz's Law), is what causes the phenomenon of inductance.
When there is a change in the current or magnetic flux of the coil, an electromotive force is created; this effect is known as self-inductance. When the current begins to flow through the coil at any moment, it is observed that the magnetic flux becomes directly proportional to the current flowing through the circuit. The relationship is expressed as:

Self-Inductance Formula -

|
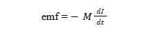
Take two coils: P–coil (Primary coil) and S–coil (Secondary coil). A battery and a key are connected in series with the P-coil, while a galvanometer is connected across the S-coil. On any change in the current or magnetic flux associated with the two coils, an opposing electromotive force is induced across each coil, and this process is known as Mutual Inductance. |
![]() |
The equation expresses this phenomenon:

The rate of change of magnetic flux through the coil is expressed as,


where,
μ₀ - permeability of free space
μᵣ - relative permeability of the soft iron core
N - number of turns in the coil
A - cross-sectional area (m²)
l - length of the coil (m)
Difference between Self-Inductance and Mutual Inductance |
![]() |
| Self-Inductance | Mutual Inductance |
| In self-inductance, the variation in the intensity of the current in the coil is resisted by the coil itself by causing an e.m.f | In mutual inductance between the two coils, one coil resists variation in the intensity of the current passing through the other coil. |
| The induced current resists the development of current in the coil as the main current in the coil increases. | The induced current that is developed in the adjacent coil resists the development of current in the coil as the main current in the coil increases. |
| The induced current resists the decay of the current in the coil when the coil's main current declines. | The induced current that is established in the adjacent coil resists the decay of the current in the coil when the coil's main current declines. |
Inductance is the property of a coil or conductor that opposes a change in electric current by creating a magnetic field. Changing current creates an opposing voltage (emf) described by Lenz's Law and Faraday's Law. It exists in two forms: self-inductance, in which emf is created within the same coil, and mutual inductance, in which it's created in a nearby coil. The inductance is a function of factors such as the number of turns, the area, length, and core material. In DC circuits, inductors oppose changes when turning the current on or off. They oppose current changes in AC via inductive reactance, which depends on frequency.
Q1. How does inductance affect AC and DC circuits?
In DC circuits, inductors oppose changes when the current starts or stops. In AC circuits, inductors continuously oppose current through a property called inductive reactance.
Q2.How can inductors store energy?
Inductors store energy in the form of a magnetic field, given by the formula-

Q3.Why do inductors oppose change in the current?
Due to Lenz’s Law, the magnetic field produced by an inductor induces a voltage that opposes any change in current, maintaining electrical balance.