Call Now
1800-102-2727Nimit has a pool table and an air gun in his apartment for entertainment purposes. The pool table has several balls and a stick to hit a ball. When he hits one ball (which was at rest) with the stick, he notices that the ball rolls over and impinges on another ball. The two balls then acquire different velocities. Such an event when objects come into contact is called collision. Now Nimit picks up his air rifles and fires a bullet into a block placed on a table. He notices that the block and the bullet stick and move together after collision. In order to find out the velocity of the block or the balls, one must have knowledge of equations governing elastic and inelastic collisions. A bullet fired into a block is an example of a perfectly inelastic collision. On the other hand, billiard balls colliding is an example of a partially elastic collision. The coefficient of restitution is one such parameter which is used in both types of collisions to determine whether a collision occurred is elastic or not. In this article, we will explore the coefficient of restitution in detail.
Table of contents
Collision in which both momentum and kinetic energy of the system is conserved before and after the collision is called elastic collision. Let us consider two bodies of masses m1 and m2 moving with velocities u1 and u2 along the same line. After collision, their velocities become v1 and v2.
Conserving momentum,
m1u1+m2u2=m1v1+m2v2--(i)
Conserving kinetic energy,
Rearranging equation (i), we get
--(iii)
From equation (ii), we get
m1(u1-v1)(u1+v1)=m2(v2+u2)(v2-u2)--(iv)
Dividing equation (iv) by (iii); we get
When only the momentum of the system is conserved but not its kinetic energy, such a collision is called inelastic collision. Consider the following example where masses m1 and m2 moving with velocities u1 and u2, after colliding, stick together and move with a common velocity us. Now,

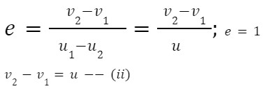
The coefficient of restitution (e) is defined as the ratio of relative velocity after collision to the relative velocity before collision.
From equation (v), we get

For a perfectly inelastic collision e=0;
For an inelastic collision, 0<e<1
For a perfectly elastic collision, e=1
Q. A basketball of mass 2 kg moving with a velocity of 5 i m/s undergoes head on elastic collision with a particle of mass 3 kg moving with a velocity of -2 i. After collision, the basketball moves with a velocity of 1.6 m/s in the negative x-direction. Calculate the final velocity of the second particle after collision.Also calculate the coefficient of restitution.
A.
Given,
2(5 i)+3(-2)i=2(-1.6 i)+3 v2
4 i=-3.2 i+3 v2
Now coefficient of restitution,

Q. The following two diagrams show the situations before and after a collision between two spheres A and B having identical size moving on a smooth surface. Calculate the coefficient of restitution e.

A. b
v2=5 m/s; v1=2 m/s; u1=8 m/s; u2=2 m/s
e= v2-v1u1-u2=5-28-2=1 2
Q. Body A of mass 4m moving with speed u collides head on with another body B of mass 2m, lying at rest. Assume that the collision is head on and elastic in nature. After collision, the fraction of energy lost by the colliding body A is
(a)19 (b)89 (c)49 (d)59
A. b
Given u1=u; u2=0
Let v1 and v2 be the final velocities of the two bodies. Then,

Solving equations (i) and (ii)
We get v2= 4 u3 and v1= u3
Final KE of A,
Initial KE of A,

Q. A ball of mass m initially moving at a velocity v collides with another ball having mass 2m at rest. The lighter ball comes to rest after collision. Find e.
A. a
Let,u1=v , u2=0; v1=0; v2=?
Equating initial and final momentum of the system;

Q. How does coefficient of restitution relate to kinetic energy?
A. The coefficient of restitution tells us about the elasticity of the collision. The collision in which there is no loss of total kinetic energy is known as a perfectly elastic collision. This type of collision has the maximum coefficient of restitution of e = 1.
Q. Can coefficient of restitution be greater than 1?
A. Yes. It means there is a gain in energy during the collision.
Q. What are the factors which affect the value of the coefficient of restitution?
A. Material properties, geometry and impact velocity are the factors that affect coefficient of restitution.
Q. Does temperature affect the coefficient of restitution?
A. Yes. As temperature increases, the elasticity of the bodies increases, thereby increasing e.