
Why study this concept?
In our daily life, we use lots of packed food.
But, how this food stays fresh for a long time? Preservatives are used to keep these packed food, fresh for a long time. One of the commonly used preservative for packed food is ammonium acetate salt which is a combination of weak acid and weak base.
Let's know about the nature of this ammonium acetate and similar such salts and their dissociation and pH in aqueous solution.

Table of content
A salt which is formed from the combination of weak acid and weak base is called Salt of weak acid and weak base (WAWB).
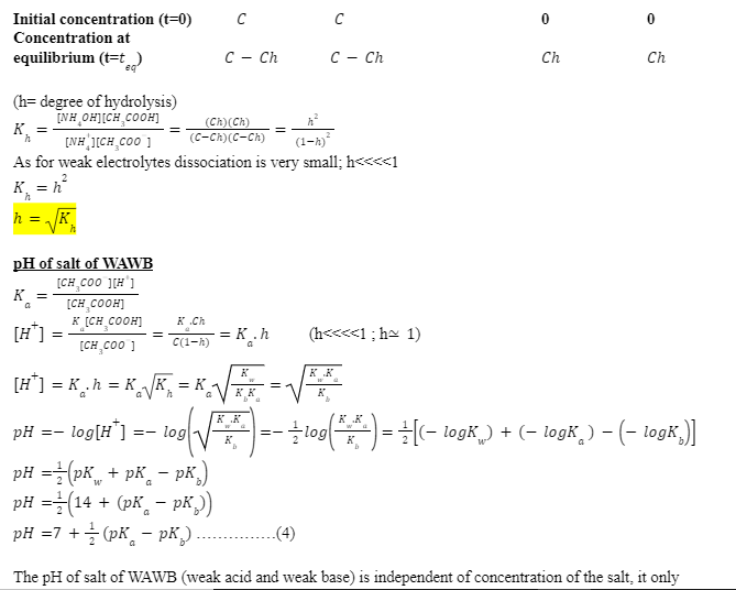
Consider a salt of weak acid and weak base CH3COONH4 Here both cation of weak base NH4+ and anion of weak acid CH3COO- undergo hydrolysis and can be written as


Using of Law of Mass Action




Related Video
Q1. Calculate the pH of 0.04 M of ammonium cyanate solution. Given Ka=5×10-10 ,Kb=2×10-5
Q2. Calculate the degree of hydrolysis and pH of the solution if pyridinium hydrogen cyanide is added to water. Given, Kb for Pyridine is 510-6 and Ka for hydrogen cyanide is 5×10-10 at 250C
Solution: Kb = 5×10-6, Ka = 5×10-10
The salt pyridinium hydrogen cyanide is a combination of Weak Acid & Weak Base. So pH can be calculated as

Q3. Which of the given statements is correct for the degree of hydrolysis for a salt of a weak acid and a weak base?

Q4. Which of the following compounds whose 0.1 M solution if taken is basic? (pKa of HCOOH = 3.75, pkb of NH4OH = 4.74)
(A) The salt Ammonium formate is a combination of Weak Acid & Weak Base. So pH can be calculated as
pH = 7 + 1⁄2(pKa - pKb)
pH = 7 + 1⁄2(3.75 - 4.74)
pH=6.505
If pH< 7, then the solution is acidic.
(B) The salt Pyridinium hydrogen chloride is a combination of Strong Acid & Weak Base. So the solution is acidic in nature.
(C) The salt Ammonium nitrate is a combination of Strong Acid & Weak Base. So the solution is acidic in nature.
(D) The salt Sodium formate is a combination of Weak Acid & Strong Base. So the solution is basic in nature.
So, the correct answer is option (d).
Question 1. Is salt of weak acid and weak base called a neutral salt?
Answer. No, salt of weak acid and weak base is not necessarily a neutral salt. It depends upon the relative difference between ionization constant of acid and ionization constant of base.
Question 2. Which salt is necessarily a neutral salt?
Answer. Salt which is formed from a combination of strong acid and strong base will be neutral salts.
Question 3. What is the suggested nature of preservative Ammonium acetate (6.7-7.3) which is used in packed food?
Answer. It should be acidic in nature as it helps to degrade the growth of bacteria and fungi. It is also used to give a tangy flavour to food items.
Question 4. Upto what amount, preservatives should be taken in a body?
Answer. The upper limit of intake of preservative is upto 1mg. Excess of it can cause high acidity, vomiting and dehydration.
Related Topics
|
Anionic Hydrolysis |
Cationic Hydrolysis |
|
Hydrolysis of salts - salt of weak acid and strong base |
Hydrolysis of salts - salt of strong acid and weak base |
|
Buffer solutions |
Acids bases and salts |
JEE Main marks vs rank vs percentile
JEE Advanced Eligibility Criteria
JEE Advanced Chemistry Syllabus
JEE Advanced Registration Dates