Call Now
1800-102-2727Have you done a load of dishes in the dishwasher, taken out the glasses, and noticed spots or film on them? This is more hard-water residue—not dangerous, but unsightly. Have you ever wondered what caused it?
Water systems using groundwater as a source are concerned with water hardness since as water moves through soil and rock it dissolves small amounts of naturally-occurring minerals and carries them into the groundwater supply. Water is a great solvent for calcium and magnesium, so if the minerals are present in the soil around a water supply well, hard water may be delivered to homes.

Water is one of the basic needs to survive on this planet. Water includes minerals and compounds, even though it appears to be perfectly clear. The "hardness" of water is determined by the concentration of particular minerals. To get more clarity on this we will study more about this.
Table of contents
The amount of dissolved calcium and magnesium in the water is the simplest definition of water hardness. In hard water, soap reacts with the minerals such as calcium and magnesium salts to form "soap scum". When using hard water, more soap or detergent is needed to get things clean, be it your hands, hair, or your laundry.
Types of hardness of water:

Temporary hardness: It is due to the presence of bicarbonates (HCO3-) of calcium and magnesium. It is also known as carbonate hardness.
Permanent hardness: It is due to the presence of chlorides and sulphates of calcium and magnesium. It is also known as non-carbonate hardness.
Degree of Hardness:
The equivalent quantity of calcium carbonate ( CaCO3) in milligrams per litre or parts per million is used to measure hardness. This is studied as degree of hardness.
Example: If a sample is labelled as ‘Hardness 165 ppm in terms of CaCO3’.
This means 165 g of CaCO3 in 106 g of given water sample
Removal of temporary hardness of water:
1. Boiling: While boiling, soluble Ca(HCO3)2changes to insoluble CaCO3.
While boiling, Mg(HCO3)2 converts to insoluble Mg(OH)2 .
These precipitates can be removed by filtration. Thus, the filtrate obtained will be soft water.


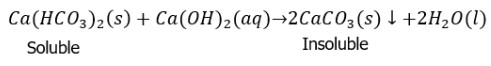
2. Clark’s method:
In this method, a calculated amount of Ca(OH)2 (slaked lime) is added to hard water.
This precipitates calcium carbonate or magnesium hydroxide that can be filtered to obtain soft water.
The reactions involved in Clark’s method are as follows

1. Treatment with washing soda (sodium carbonate):
Soluble chlorides and sulphates of calcium and magnesium react with washing soda Na2CO3to form insoluble carbonates. These insoluble carbonates can be removed via precipitation.
![]()
Where, M= Mg or Ca
2. Permutit method:
It is also known as the ion exchange or zeolite process. Hydrated sodium aluminium silicates (Na2Al2Si2O8.xH2O) are known as zeolites or permutit. For simplicity,(Na2Al2Si2O8.xH2O) is written as Na2Z.
Ca2+ and Mg2+ ions are exchanged with sodium in zeolites as follows:
![]()
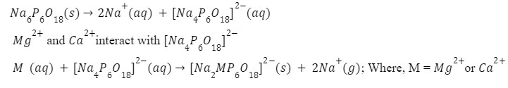
3. Calgon’s method:
Sodium hexametaphosphate (Na6P6O18) is commercially known as calgon.Calgon (Na6P6O18) or Na2[Na4(PO3)6] forms soluble complexes with Mg2+ and Ca2+ ions. When it is added to water, it dissociates and the following reaction takes place:

Q1. Which of the following isn't a hardness unit?
Answer:
a. Degree centigrade
b. Degree Clarke
c. Degree French
d. Parts per million
Answer: A
The degree centigrade is not a hardness unit. Temperature is measured in degrees centigrade. Hardness is measured in parts per million (ppm), degree Clarke, and degree French. These three parts are interlinked.
Q 2. Regeneration of zeolites takes place by treating with
a. Aqueous sodium hydroxide
b. Aqueous Potassium hydroxide
c. Sodium hexametaphosphate
d. Aqueous Sodium chloride
Answer: D
Zeolites are regenerated for further use by treating with an aqueous sodium chloride solution.
Q 3. Cations exchange resins contain large organic molecules with\
a. -SO3H group
b. -COR group
C. -COOH group
d. -SH group
Answer: A
Cations exchange resins contain large organic molecules with -SO3H group. They are
insoluble in water.
Q 4. 0.00011% MgSO4 and 0.000110% of CaCl2 is present in water. What is the measured hardness of water?
Answer: We can calculate this by taking 100 g of hard water.

Q1. Why the density of seawater is more than that of rainwater? Explain.
Answer: Due to more salt ions being present in seawater, it gets heavier and the hardness level gets increased than that of rainwater. As a result, the density of seawater is higher than that of rainwater.
Q2.What do you understand by the term zeolite?
Answer: Zeolites are microporous aluminosilicate minerals that are extensively employed as adsorbents and catalysts in industry. The proper application of zeolites allows for cheaper manufacturing costs and increased durability.
Q3. How acidic is hard water?
Answer: When the pH level in water exceeds 8.5, it is called hard. Hard water is not harmful to your health, however, it might cause aesthetic issues like water and beverages such as tea and coffee to have a bitter taste.
Q4. Is rainwater considered hard water?
Answer: As water moves through the earth, certain minerals are accumulated. Rainwater, for example, is naturally soft as it falls due to the water cycle's evaporation, condensation, and precipitation. However, as it falls to the ground, it picks up minerals and becomes hard water.
Related topics:
|
Chemicals in medicines |
Chemicals in food |
|
Heavy water |
Water |
|
Hydrogen peroxide |
Hydrogen |