•  
agra,ahmedabad,ajmer,akola,aligarh,ambala,amravati,amritsar,aurangabad,ayodhya,bangalore,bareilly,bathinda,bhagalpur,bhilai,bhiwani,bhopal,bhubaneswar,bikaner,bilaspur,bokaro,chandigarh,chennai,coimbatore,cuttack,dehradun,delhi ncr,dhanbad,dibrugarh,durgapur,faridabad,ferozpur,gandhinagar,gaya,ghaziabad,goa,gorakhpur,greater noida,gurugram,guwahati,gwalior,haldwani,haridwar,hisar,hyderabad,indore,jabalpur,jaipur,jalandhar,jammu,jamshedpur,jhansi,jodhpur,jorhat,kaithal,kanpur,karimnagar,karnal,kashipur,khammam,kharagpur,kochi,kolhapur,kolkata,kota,kottayam,kozhikode,kurnool,kurukshetra,latur,lucknow,ludhiana,madurai,mangaluru,mathura,meerut,moradabad,mumbai,muzaffarpur,mysore,nagpur,nanded,narnaul,nashik,nellore,noida,palwal,panchkula,panipat,pathankot,patiala,patna,prayagraj,puducherry,pune,raipur,rajahmundry,ranchi,rewa,rewari,rohtak,rudrapur,saharanpur,salem,secunderabad,silchar,siliguri,sirsa,solapur,sri-ganganagar,srinagar,surat,thrissur,tinsukia,tiruchirapalli,tirupati,trivandrum,udaipur,udhampur,ujjain,vadodara,vapi,varanasi,vellore,vijayawada,visakhapatnam,warangal,yamuna-nagar

Diagonal Relationship- Definition, Reason, Practice Problems & FAQs

Diagonal Relationship- Definition, Reason, Practice Problems & FAQs

We have seen periodic table multiple times in our classes and in and around almost every place we visit to study chemistry! Have you noticed how beautifully elements are stacked in our periodic table just like students standing in rows and columns for a morning assembly in the auditorium? In many schools students of a class are made to stand in columns from short ones to tall ones. In two such classes- Class II students and Class III students, when we're kept side by side, a wonderful trend was noticed!

The diagonally connected students have similar heights!

Quite so is the case for some elements of Group 3 and group 2 of our periodic table, where some of the properties of these elements are similar. 

Let's understand this ‘Diagonal Relationship’ term and its reason of origin.

TABLE OF CONTENTS

  • What is a Diagonal Relationship?
  • Reasons for Diagonal Relationship
  • Similarity in Properties due to Diagonal Relationship between Li and Mg
  • Similarity in Properties due to Diagonal Relationship between Be and Al
  • Similarity in Properties due to Diagonal Relationship between B and Si
  • Similarity in Properties due to Diagonal Relationship between C and P
  • Practice problems
  • Frequently Asked Questions-FAQs

What is a Diagonal Relationship?

A diagonal relationship is said to exist between certain pairs of diagonally adjacent elements in the second and the third period of the periodic table due to their identical size and similar electronegativity. These diagonally placed elements show similarities in their properties. The examples of the pairs showing diagonal relationships are:

  • Li of group 1 shows a diagonal relationship with Mg of group 2.
  • Be of group 2 shows a diagonal relationship with Al of group 13. 
  • B of group 13 shows a diagonal relationship with Si of group 14.
  • C of group 14 shows a diagonal relationship with P of group 15.


Reasons for Diagonal Relationship

Lithium is the first element of group 1 of s-block whereas Beryllium is the first element of Group 2 of s-block.

We tend to observe that some of their properties do not match the properties exhibited by other elements of their respective groups. Instead, their properties match with those elements placed diagonally to them. 

The major reason for the phenomenon of the diagonal relationship is the equal polarizing power or ionic potential of these diagonal elements. 

Polarizing Power or Ionic Potential image

For example, the polarizing power of each of the Li+ and Mg2+ ions is roughly the same. Due to this diagonal relationship arises and the properties of Li+ and Mg2+ are almost similar even though these elements are from two different groups. 

Similarity in the Properties due to Diagonal Relationship between Li and Mg

  • Both Li and Mg are harder and lighter.
  • Li and Mg react slowly with water.
  • Both of their hydroxides are weak bases and decompose on heating.
  • Li2O and MgO do not combine with excess oxygen to give either peroxide or superoxides (Superoxide ions cannot be stabilised by Li+ and Mg2+ as they are small cations)
  • Their carbonates decompose easily on heating to form oxides and CO2.
  • Hydrogen carbonates are not formed by Li and Mg.
  • Halides of both of them are deliquescent and crystallise as hydrates (LiCl.2H2O and MgCl2.8H2O).
  • Halides of both the metals are soluble in ethanol (according to Fajan’s rule, because of the small sizes of Li+ and Mg2+) due to covalent character.
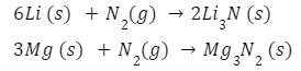
  • Both the metals form nitrides, Li3N and Mg3N2 , by direct combination with nitrogen.

image

  • The hydroxides, carbonates, phosphates and fluorides of both Li and Mg are sparingly soluble in water.

Recommended Video:

(01:18:31-01:22:52 )

Similarity in the Properties due to Diagonal Relationship between Be and Al

  • Like aluminium, beryllium is not readily attacked by acids because of the presence of an oxide film. Al is very reactive towards oxygen and forms a protective oxide layer of Al2O3.
  • BeCl2 and AlCl3 both act as a catalyst in Friedel-Crafts reaction.
  • The hydroxides and the oxides of beryllium [Be(OH)2, BeO] and aluminium [Al(OH)3, Al2O3] are amphoteric in nature, whereas those of the other elements of Group 2 are basic in nature.
  • BeCl2 and AlCl3 have bridged chloride polymeric structures in the solid state as shown in the following figure.
  • In the gas phase, AlCl3 exists as Al2Cl6 and BeCl2 exists as Be2Cl4. Hence, in the gas phase, AlCl3 and BeCl2 exist as dimers.
  • Be and Mg form compounds that have a low melting point and are soluble in the organic solvents.
  • They react with NaOH to form beryllate and aluminate and give off H2 gas.

image

Similarity in the Properties due to Diagonal Relationship between B and Si

Group 13, Period 2 element Boron has various similarities in their chemical and physical properties with Group 14, Period 3 element Silicon, owing to similarities in their polarisation power. 

  • Both B and Si are non-metallic in nature and are used in semi-conductors,.
  • Boron, as well as Silicon, have high melting and boiling points.
  • They have very similar densities and low atomic volumes.
  • They also tend to form covalent compounds.
  • B and Si exist in the amorphous and crystalline state.
  • Both Boron and silicon show allotropy.

Similarity in the Properties due to Diagonal Relationship between C and P

Group 14, Period 2 element Carbon has various similarities with Group 15, Period 3 element Phosphorus, owing to similarities in their polarisation power. 

  • Carbon and phosphorus exhibit allotropes.
  • They exhibit almost similar values of electronegativities. (Carbon-2.55, Phosphorus- 2.19)
  • C as well as P are capable of forming and imagebonds.
  • Similar to carbon, phosphorus can also form triple bonds in its gaseous phase diphosphorus allotrope (P2).

Practice Problem 

Q1. Lithium and magnesium show a diagonal relationship. Which if the following statement is correct?

A. Their carbonates decompose on heating to produce carbon dioxide.
B. Their hydroxides do not decompose to give respective oxides.
C.  Lithium can form nitride but magnesium can not form magnesium nitride. 
D. None of the above

Answer: (A)

Solution: 

Lithium carbonate and magnesium carbonate decompose on heating to produce carbon dioxide.


Lithium hydroxide and magnesium hydroxide decompose on heating to produce respective oxides.


Both lithium and magnesium can form their nitrides.

 image

Q2. Beryllium and aluminium exhibit a diagonal relationship and show many similar chemical properties, however, which is the one thing they differ in:

A. Both forms covalent halides
B. Both produce polymeric hydrides
C. Both form oxides which are amphoteric in nature 
D. Both show same maximum covalency in compounds

Answer: (D)

Solution: 

In the neutral state, Be and Al show a covalency of two and three, respectively; whereas, in complex state, Be and Al have a maximum covalency of four and six, respectively. Be cannot expand its covalency beyond four as it does not have vacant d-orbitals. Thus, both of them differ in exhibiting the maximum covalency in compounds.

Q3. Which of the following pair does not show a diagonal relationship?

A. Li and Be
B. Li and Mg
C. Al and Be
D. C and P

Answer: (A)

Solution: 

Elements of period 2 and period 3 which are diagonal to each other, especially the lighter elements show diagonal relationship. 

  • Li of group 1 shows a diagonal relationship with Mg of group 2.
  • Be of group 2 shows a diagonal relationship with Al of group 13. 
  • B of group 13 shows a diagonal relationship with Si of group 14.
  • C of group 14 shows a diagonal relationship with P of group 15.

Hence, option A is incorrect as Li and Be are not diagonal to each other.

Q4. Boron and silicon, both are non-metallic and have a common property when it comes to the conduction of electricity. What is it?

A. Both are good conductors of electricity
B. Both are non-conductors
C. Both can be used as semiconductors
D. None of the above

Answer: (C)

Solution: 

Both boron and silicon are non-metallic in nature and exhibit several non-metallic characters also they are used as semiconductors. They do not conduct electricity generally in their normal state. 

Frequently Asked Questions-FAQs

Question 1. What is the reason for the diagonal relationship?
Answer: The diagonal relationship is caused due to the effect of the polarizing power of the elements placed diagonally in Period 2 and Period 3 of the periodic table.

On moving from left to right in a period, the polarizing power increases due to the increase in ionic charge, whereas the ionic radii decreases. On moving down the group, the ionic radius increases due to which polarizing power decreases. Overall, therefore. on moving diagonally from left to right in a periodic table, these effects cancel each other to some extent. Hence, the polarizing power values of the diagonal elements of these two groups are quite close. This is the cause of the diagonal relationship.

Question 2. Which of the diagonally related pairs can form polymeric halide?
Answer: Beryllium and aluminium show a diagonal relationship as well as form polymeric halide. In the gas phase, AlCl3 exists as Al2Cl6 and BeCl2 exists as Be2Cl4. Hence, in the gas phase, AlCl3 and BeCl2 exists as dimers.

Question 3. Which element pairs can show a diagonal relationship and can form covalent organometallic compounds?
Answer: Li and Mg are able to form covalent organometallic compounds which are used in producing Grignard reagents as well. Example: LiMe and MgMe2.

Question 4. Why do heavier elements from lower periods do not show a diagonal relationship?
Answer: The resemblance in properties of diagonal elements of the lower period is difficult to be established owing to differences in polarising power values and involvement of higher orbitals like the d and f-orbitals, which produces screening effect, scandide contraction, lanthanide contraction affecting the ionic sizes of heavier elements (like lead, tin, tungsten, lanthanum etc, present in the lower periods,) differently. Hence, the diagonal relationship becomes obsolete in those cases.

Related Topics

Alkali Metals

Sodium Hydroxide

Sodium Carbonate

Calcium Hydroxide

Sodium Chloride

Potassium

NEET Related Links

NEET Exam 

NEET  Exam Dates

NEET  Exam pattern

NEET  Syllabus

NEET  Eligibility Criteria

NEET  Application

NEET UG Counselling

NEET FAQ

NEET UG Result

NEET  Cut Off

JEE MAIN Related Links

JEE Main 

JEE Main Rank Predictor 

JEE Main College Predictor 

JEE Main  Exam Dates

JEE Main  Exam pattern

JEE Main  Application

JEE Main  Eligibility Criteria

JEE Main  Syllabus

JEE Main  Physics Syllabus

JEE Main  Maths Syllabus

JEE Main  Chemistry Syllabus

JEE Main  Admit Card

JEE Main  Counselling

JEE Main marks vs rank vs percentile

JEE Advanced Related Links

JEE Advanced  Exam Dates

JEE Advanced  Application

JEE Advanced  Eligibility Criteria

JEE Advanced  Syllabus

JEE Advanced  Maths Syllabus

JEE Advanced  Physics Syllabus

JEE Advanced  Chemistry Syllabus

JEE Advanced Exam Result

JEE Advanced Exam Dates

JEE Advanced Registration Dates

CUET Related Links

CUET  Eligibility Criteria

CUET  Admit Card

CUET  Exam Pattern

CUET  FAQs

CUET  Counselling

CUET  Syllabus

CUET  Result

CUET  Answer Key

CUET  Preparation

CUET CUTOFF

CUET  Application Form

Important Topics

Talk to our expert
Resend OTP Timer =
By submitting up, I agree to receive all the Whatsapp communication on my registered number and Aakash terms and conditions and privacy policy