Call Now
1800-102-2727Claisen condensation is one of the significant reactions from organic chemistry, focusing on carbon-based compounds and their interactions. It plays an important role in synthesising complex organic molecules, making it an organic reaction providing numerous advantages in the real world.
Table of Contents
A carbon-carbon bond generated between a single ester and a carbonyl compound or between the two esters is called Claisen condensation. A strong base is required to continue the Claisen condensation reaction. The end product of the reaction will be beta-diketone or beta-keto ester. The reaction was named after the German scientist Rainer Ludwig Claisen as he discovered it.
The mechanism of the Claisen condensation reaction continues with the following steps.
The elimination of an alpha proton is because of the strong base. It leads to the formation of an enolate ion. Because of the localisation of the negative charge of electrons, an enolate ion is comparatively stable.

Image: Formation of an enolate anion.
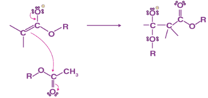
Now the enolate anion targets the nucleophilic attack on the carbonyl carbon of the second ester reactant. It results in the elimination of the alkoxy group and the renewal of the conjugate base of alcohol. Thus, the created doubly alpha proton is then eliminated by an alkoxide anion to form a fresh resonance-stabilised enolate anion.

Image: Resonance stabilised enolate anion
Proceeding with the third step of the reaction involves the addition of an aqueous acid like sulphuric or phosphoric acid. It is used to neutralise the negative charge of the enolate along with the remaining bases, forming a beta-keto ester and beta-diketone. Furthermore, the formed compounds are isolated, and the rest is discarded.

Image: Final step condensation reaction
The Claisen condensation reaction involves modified variations. They are as follows.
Claisen condensation is one of the versatile reactions that occur in organic chemistry though it involves some challenges.
The distinct applications of Claisen condensation reactions have led to recent advancements. They are as follows.
Q1. Claisen condensation is an important reaction potentially used in
A. Inorganic chemistry
B. Organic chemistry
C. Biophysics
D. All of the above
Answer: B. Organic chemistry
Claisen condensation reaction is widely used in organic chemistry.
Q2. Who discovered Claisen condensation reaction
A. Mendel
B. Ray
C. Einstein
D. Ludwig
Answer: D. Ludwig
Rainer Ludwig Claisen was a German scientist who discovered the organic reaction, Claisen condensation.
Q3. Choose the variations of Claisen condensation
A. Stobbe condensation
B. Dieckmann condensation
C. Both a and b
D. None of the above
Answer: C. Both a and b
Both Stobbe and Dieckmann condensation are the modified variations of Claisen condensation.
Q1. State a similarity between Aldol and Claisen condensation reaction.
Answer: Both are organic condensation reactions involving the addition of enolates with the organic compounds.
Q2. State a difference between Claisen condensation and aldol reaction.
Answer: Aldol condensation reaction involves adding enolates to esters. On the other hand, the aldol condensation reaction involves adding enolates to aldehydes or ketones.
Q3. Is it necessary to learn condensation reactions for NEET preparation?
Answer: Yes. Organic chemistry evolves around reactions, where condensation reactions play a major role. It is important to learn these reactions to understand the procedure and the formation of products. It boosts the scores and increases your chance of selection.