Call Now
1800-102-2727In the discipline of physics, the dynamics of rigid bodies play a critical role in understanding the motion and behaviour of objects. Dynamics of rigid bodies formulas and ideas related to rigid bodies, such as their moment of inertia, the radius of gyration, torque, angular momentum, and centre of mass, are important topics for various studies such as mechanics, engineering and more. By learning about these notions, we may better grasp how stiff bodies behave and apply these ideas to address actual situations.
Rigid bodies are items that retain their shape and do not deform when subjected to external forces. They have constant distances between their constituent particles and do not alter inside. Solid items such as wooden blocks or metal rods are examples of rigid bodies.
To study motion and equilibrium, one must understand the attributes and behaviour of rigid bodies. The dynamics of rigid bodies formulas play a significant role in understanding these features and the different ways rigid bodies act.

Image: Rigid and deformable body
Rigid bodies have various distinguishing properties determining their behaviour:
The concepts of rigid bodies and rigid body dynamics were established to answer an assortment of challenges that could not be resolved by conventional physics. The dynamics of rigid bodies and formulas lay the framework for the field that was to come, quantum mechanics. There are two different motions that a rigid body might undergo:
When each of a moving body's points is travelling uniformly in one direction, that motion is called uniform motion. We can observe that an object's direction remains unchanged when it experiences translatory motion. The Rectilinear motion refers to a body's movement when it follows a straight path.
Rotational Motion is a prevalent kind of circular motion. If a certain force is consistently applied perpendicular to a moving body, the object will move in a circular direction at a constant pace, referred to as uniform circular motion. In rotational motion, all particles follow circular trajectories around the axis of rotation. The angular velocity of rotation totally determines the rotational motion of the body.
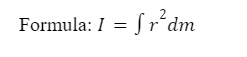
The moment of inertia is an important one in the dynamics of rigid bodies formulas. It measures the resistance of the body to rotational motion about a certain axis. The moment of inertia is determined by the distribution of mass within the body and the rotational axis.

Where
r = radius or the distance from the point of axis
m = mass of the rigid body
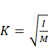
The radius of gyration is a parameter that reflects how mass is distributed within a rigid body. It describes how the mass is concentrated or spread out in relation to the axis of rotation. The radius of gyration is defined as the square root of the moment of inertia to the total body mass ratio.
Formula: 
Where
M = mass of the rotating object
I = moment of inertia
Torque is the rotating equivalent of force and is responsible for rotational motion in rigid things. The torque acting on a body is exactly proportional to its moment of inertia and angular acceleration.
Formula: 
Where
I = moment of inertia
a = angular acceleration
The attribute of spinning objects is angular momentum, which is directly connected to their moment of inertia and angular velocity. It quantifies the rotational motion of a rigid body about a certain axis.
Formula:
For point object: 
L = angular velocity
r = radius
p = linear momentum
For an extended object: 
L = angular momentum
I = moment of inertia
ω = angular velocity
A rigid body's rotational momentum is exactly proportional to the torque applied to it. The equation for this connection is

The torque can be defined as the rate of change of angular momentum, which is equivalent to the cross-product between the linear force and the distance from the axis. Thus, the torque is the rate at which angular momentum changes. Given an instance, we understand that the angular momentum is constant.

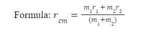
A rigid body's centre of mass is the place at which its mass is thought to be concentrated. It is the body's equilibrium point and behaves as if all of the mass is situated there. The centre of mass is critical in evaluating rigid body translational motion.

Q 1. Which of the following variables influences a rigid body's moment of inertia?
A. Mass and acceleration
B. Force and displacement
C. Shape and mass distribution
D. Velocity and time
Ans. C. Shape and mass distribution
The form, mass and distance affect the moment of inertia of any rigid body.
Q 2. Which of the following statements most accurately defines the notion of a rigid body?
A. A body that can change its shape under the action of external forces
B. A body that cannot rotate about its centre of mass
C. A body that maintains its shape and size under the action of external forces
D. A body that can undergo linear motion only
Ans. C. A body that maintains its shape and size under the action of external forces
A rigid body is any object that has no effect on its shape and size under the influence of external forces.
Q 3. In the absence of external torques, which of the following quantities is preserved for a rigid body?
A. Linear momentum
B. Angular momentum
C. Kinetic energy
D. Potential energy
Ans. B. Angular momentum
When the external torque is zero in a system, then according to the principle of conservation of angular momentum, angular momentum stays constant.
Q1. What is the distinction between a rigid and a deformable body?
Ans. A rigid body retains its shape and does not deform when subjected to external forces, whereas a deformable body changes shape and size.
Q2. How is the moment of inertia different for different shapes of rigid bodies?
Ans. The moment of inertia of a body is determined by its mass distribution and its axis of rotation. Since various shapes have varying mass distributions, they have distinct moments of inertia.
Q3. How is torque defined in the context of dynamics?
Ans. Torque is a measure of the force that turns or twists a rigid body. It produces rotational motion and is computed as the product of applied force and lever arm (perpendicular distance from the axis of rotation).