Physics is a scoring subject when you know the right formulas. You also need to understand where these formulas come from. This guide gives you a full formula sheet for Physics class 12. It also explains key ideas in simple words.
Students often lose marks in the CBSE class 12 Physics paper because they forget formulas. They also struggle with derivations. With the right Physics class 12 formulas and derivations, you can score much higher.
Why You Need a Physics Class 12 Formula Sheet
A Physics formula sheet saves time. It helps you revise fast. It keeps all important formulas in one place.
You must know:
- Basic Physics formulas
- Long formulas
- All derivations of Physics class 12
This is why every student should keep a neat formula list.
What CBSE Tests in Physics
CBSE checks:
- Concept clarity
- Use of Physics formulas
- Ability to write important derivations Physics class 12
- Skill in solving numericals
You must prepare well for all class 12 Physics chapters.
Chapterwise Formula and Derivation Table
This table gives a quick view of key topics. The “Click Here” column can be used in online notes or PDFs.
| Unit No | Class 12 Physics Chapters | Key Topics | Click Here |
| I | Electric Charges and Fields | Coulomb’s law, Electric field, Flux | Click Here |
| I | Electrostatic Potential and Capacitance | Potential, Capacitance | Click Here |
| II | Current Electricity | Ohm’s law, Resistance, Resistivity | Click Here |
| III | Moving Charges and Magnetism | Magnetic force, Biot-Savart law | Click Here |
| III | Magnetism and Matter | Magnetic materials | Click Here |
| IV | Electromagnetic Induction | Faraday’s law, Lenz’s law | Click Here |
| IV | Alternating Current | AC concepts, RMS values | Click Here |
| V | Electromagnetic Waves | Properties, EM spectrum | Click Here |
| VI | Ray Optics and Optical Instruments | Refraction, Lenses | Click Here |
| VI | Wave Optics | Interference, Diffraction | Click Here |
| VII | Dual Nature of Radiation and Matter | Photoelectric effect | Click Here |
| VIII | Atoms | Bohr model, Energy levels | Click Here |
| VIII | Nuclei | Structure of nucleus | Click Here |
| IX | Semiconductor Electronics | PN junction, Diode basics | Click Here |
Basic Physics Formulas You Must Know
These basic Physics formulas are used in many chapters.
- Speed = Distance / Time
- Force = Mass × Acceleration
- Work = Force × Distance
- Power = Work / Time
- Energy = Work done
These are part of all Physics formulas.
Important Physics Class 12 Formulas from Each Chapter
Electrostatics
- Coulomb’s law
F = k(q1q2)/r² - Electric field
E = F/q
These are core Physics formulas.
Current Electricity
- Ohm’s law
V = IR - Resistance
R = ρL/A
These appear often in the CBSE class 12 Physics paper.
Magnetism
- Force on charge
F = qvB - Torque
τ = mB sinθ
Electromagnetic Induction
- Faraday’s law
E = -dΦ/dt
AC
- RMS voltage
Vrms = Vmax/√2
Optics
- Lens formula
1/f = 1/v + 1/u - Magnification
m = v/u
These are key Physics formulas.
Dual Nature
- Photoelectric equation
E = hf – φ
Atoms
- Bohr energy
En = -13.6/n²
Nuclei
- Decay law
N = N₀e⁻ˡᵗ
Semiconductors
- Current in diode
I = I₀(eᵛ/ηVᵀ – 1)
Physics Derivations Class 12
CBSE gives many marks for derivations. You must learn the most important derivations in Physics class 12.
Some key ones are:
- Coulomb’s law
- Drift velocity
- Lens maker’s formula
- Einstein’s photoelectric equation
- Radioactive decay
These are part of important derivations Physics class 12.
How to Write Derivations
Use this format:
- Write the formula
- Explain each step
- Add units
- Draw a diagram
This helps in all Physics derivations class 12.
Last-Minute Revision: Most Important Derivations for Class 12 Physics
1. Coulomb’s Law
What to Prove:
Force between two point charges varies directly with product of charges and inversely with square of distance.
How to Prove (Exam Flow):
- State proportionalities:
F ∝ q₁q₂
F ∝ 1/r² - Combine both:
F ∝ q₁q₂ / r² - Introduce constant.

- Write final expression and mention direction (along line joining charges).
2. Drift Velocity
What to Prove:
Expression for drift velocity and relation
![]()
How to Prove:
Force on electron F = (- eE)
Acceleration a = ( – eE/m)
Use v = at (where t = relaxation time τ).
Obtain

Multiply by number of electrons to derive
![]()
3. Force Between Two Parallel Wires
What to Prove:
Expression for force per unit length.
How to Prove:
- First, find the magnetic field due to one wire.

- Apply Lorentz force formula on second wire.
- Substitute value of B.
- Simplify to get F/L expression.

4. Faraday’s Law
What to Prove:
Induced emf equals rate of change of magnetic flux.
How to Prove:
- Define magnetic flux (Φ = BA cosθ).
- Consider change in flux with time.
- State experimental observation.
- Write

- Explain negative sign using Lenz’s Law.
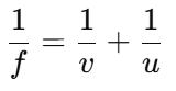
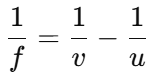
5. Lens / Mirror Formula
What to Prove:
Relation between u, v, and f.
How to Prove:
- Draw ray diagram.
- Use similar triangles.
- Write ratio of sides.
- Rearrange algebraically.
- Obtain
Mirror Formula:

Lens Formula:

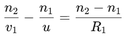
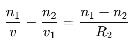
6. Lens Maker’s Formula
What to Prove:
Focal length depends on refractive index and radii.
How to Prove:
- Apply refraction formula at first surface.

- Apply refraction at second surface.

- Combine both equations.
- Simplify under thin lens approximation.
- Write final formula.
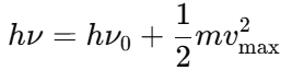
7. Einstein’s Photoelectric Equation
What to Prove:
Energy conservation in photoelectric effect.

How to Prove:
- State photon energy E = hν.
- Apply energy conservation principle.
Write:

- Rearrange for kinetic energy.
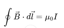
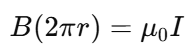
8. Magnetic Field Due to Straight Conductor
What to Prove:
B = μ₀I / 2πr
How to Prove:
- Construct a circular Amperian path having a radius r.
- Consider

Substituting into Ampere’s law:

- we obtain:

Read Also:
CBSE Class 12 Physics 2026: Important Topics And Preparation Tips
Tips to Remember All Physics Formulas
Use these steps:
- Write all Physics formulas daily
- Revise before sleep
- Use flash cards
- Solve problems
Keep a small Physics formula sheet with you.
Important Resources for CBSE Board Class 12 Students
- CBSE Class 12 Board Exam Preparation Resources
- CBSE Class 12 Date Sheet 2025-26
- CBSE Class 12 Syllabus 2025-26 (All Subjects)
- CBSE Class 12 Mock Test Papers with Answers
- Practice Class 12 Previous Year Question Paper and Solutions
How This Helps in Exams
A good formula sheet for Physics class 12 helps you:
- Save time
- Avoid mistakes
- Write correct answers
It also boosts your confidence in the CBSE class 12 Physics paper.
CBSE Class 12 Exam Related Study Material
Why Aakash Institute is the Best Choice
We at Aakash give you:
- Full chapter notes
- All derivations of Physics class 12
- Video lessons
- Live doubt support
- Test series
We help you master every part of Physics class 12.
Conclusion
Join Aakash today. Get a complete Physics formula sheet. Learn all Physics formulas and derivations. So, prepare smart and score high in the CBSE class 12 Physics paper.
FAQs
- Why is a formula sheet important for Physics?
A Physics formula sheet helps you revise fast. It keeps all formulas in one place and saves time during revision and exam preparation.
- Which derivations are most important?
The most important derivations in Physics class 12 include Coulomb’s law, photoelectric equation, lens formula, and radioactive decay. These often carry high marks.
- Is NCERT enough for formulas?
NCERT gives the base. But a formula sheet for Physics class 12 helps you revise all formulas quickly before the exam.
- How can I remember all formulas?
Write all Physics formulas daily. Use short notes. Solve numericals. Revise before sleeping.
- How does Aakash institute help?
Aakash institute gives clear notes, tests, and full Physics derivations class 12 support. This helps you prepare better and score more marks.








