Call Now
1800-102-2727Preparing for JEE Main becomes much easier when all the important formulas are organised in one place. On this page, you will find easy JEE Main formula sheets,
Key formulas for JEE Main that you need for quick revision, whether you are solving questions, revising concepts, or practising mock tests. These sheets are designed to save time and help you revise faster before exams.
|
All JEE Main formulas in one place: |
Having all the important JEE Main 2026 formulas ready before starting your preparation. |
|
JEE Main Better subject-wise revision: |
Making separate formula notes for Physics, Chemistry, and Maths helps you revise each subject more clearly. |
|
Stronger concept of JEE Main |
Regularly revising formulas helps you understand concepts better |
|
Improves exam time management: |
Knowing formulas well reduces thinking |
|
Makes calculations quickly |
Quick recall of formulas leads |
|
Reduces mistakes: |
Proper formula revision minimises calculation errors and improves overall accuracy in the JEE Main exam. |
The Physics section of JEE Main is often seen as tough by students because of long formulas, derivations, and many different topics. According to the JEE Main Physics Syllabus 2026, it includes chapters like Mechanics, Electricity and Magnetism, Thermodynamics, Optics, and Modern Physics.
To do well in this section, it is very important to remember and practice key Physics formulas. Having the important JEE Main 2026 Physics formulas in one place helps in quick revision and makes solving questions easier. Let’s look at some must-know formulas for JEE Main 2026.
|
Displacement |
(Initial velocity + Final velocity) / 2 × Time taken |
|
Final velocity |
(Initial velocity + Acceleration) × Time taken |
|
Acceleration |
(Final velocity - Initial velocity) / Time taken |
|
Average speed |
Total distance/Total time |
|
Average velocity |
Total displacement/Total time |
|
|
|
|
|
|
S.no |
Formula |
|
1 |
Work = force x displacement x cos 0 |
|
2 |
Potential Energy = m x g x h |
|
3 |
Kinetic Energy = 0.5 x m x v^2 |
|
4 |
Total Mechanical Energy = Kinetic Energy + Potential Energy |
|
5 |
Power = work done/time taken |
|
S.no |
Formula |
|
1 |
Electric Field = force per unit charge = F/Q |
|
2 |
Electric Potential = V/d |
|
3 |
Electric Potential Energy = q x V |
|
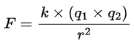
4 |
(Coulomb's Law) |
Energy of electric dipole: U = -pE
Energy of a magnetic dipole: U = -uBC
Electric Charge: Q = +-ne(where e = 1.60218 x 10^-29), SI unit of Electric Charge is Coulomb ©
Electrostatic Force (F) = k[q1q2/r^2] and,
In Vector Form :

Where q1 and q2 are Charges on the Particle,
r = Separation between them,
= Position Vector,
= Constant =

The current at Time t =

Where
= Charges crosses an Area in time 
SI unit of Current is Ampere (A) and 1A = 1 C/s

Law of Conservation of Charge:





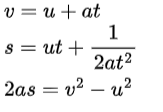
Motion in Upward Direction:

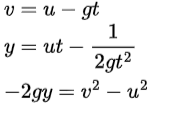
Motion in Downward Direction:

![]() |
![]() |
![]() |
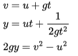
Where, u = initial velocity,
v = final velocity,
a = constant acceleration,
t = time,
x = position of particle.
![]() |
![]() |
![]() |
![]() |
![]() |
![]() |
![]() |
![]() |
![]() |
![]() |
FAQs
Q1. Why important formulas needed for JEE Main 2026?
Important formulas are the base of JEE Main 2026 preparation. They help you solve numerical questions faster, revise before exams, and avoid mistakes during calculations.
Q2. Do these formula sheets follow the JEE Main 2026 syllabus?
Yes, all important formulas for JEE Main 2026 are prepared strictly according to the latest NTA JEE Main syllabus.
Q6. Are Physics formulas more important than Chemistry and Maths?
All three subjects are equally important for JEE Main 2026. Physics formulas help with numericals, Chemistry formulas help in quick recall, and Maths formulas are key for problem-solving speed.
Q7. When should I start revising JEE Main formulas?
You should start revising JEE Main important formulas from the beginning of your preparation and continue till the exam day.
Q8. Can formula sheets help in last-minute JEE Main 2026 preparation?
Yes, JEE Main 2026 formula sheets are perfect for last-minute revision as they save time and help you recall concepts quickly.
Q9. Are these formula PDFs useful for mock tests and practice sessions?
Absolutely. These important JEE Main formula PDFs are very useful while practising questions and analysing mock test performance.
Talk To Our Experts