
Some mathematical calculations can be complex while solving them. The multiplicative inverse is a technique in mathematics that simplifies complex mathematical problems to solve them easily. As the term denotes, multiplicative inverse means applying multiplication operation inversely or in reverse. Therefore, we do not need to perform any extra multiplication operation in multiplicative inverse.
Multiplicative inverse means getting such a number which, when multiplied by 1, gives the original number itself. We change division into multiplication using the multiplicative inverse. We know the inverse of addition of subtraction. Likewise, the inverse of multiplication is division. Therefore, we can change division operation into multiplication using the multiplicative inverse.
For example, we write 1/p. We can also write 1/p as p, which is the multiplicative inverse of p. However, for easier calculations, we can do the reverse as well.
We can also consider another example. If we have q-6. We can write 1/q6, if we wish to ease our calculations. As a result, multiplicative inverse is a very useful technique to solve complex mathematical problems.
All natural numbers follow the rule of multiplicative inverse. The multiplicative inverse of a natural number m = 1/m or m-1. For example, the multiplicative inverse of 6 is 1/6 or 6-1.
The multiplicative inverse of a positive natural number will be positive only. For example, the multiplicative inverse of 1/7 is 7.
The multiplicative inverse of a negative number is negative. For example, the multiplicative inverse of -6 is -1/6.
The multiplicative inverse of a fraction will reverse the digits of fractions. For example, the multiplicative inverse of p/q is q/r, such that q is not equal to 0.
To find the multiplicative inverse of a mixed fraction, we need to convert it to an improper fraction first. After converting it to improper fraction, we can interchange the numerator and denominator values to find the multiplicative inverse of the number.
For example, 867 is a mixed fraction. The improper fraction of this mixed fraction is 62/7. The multiplicative inverse of 62/7 will be 7/62. In conclusion, the multiplicative inverse of a number changes improper fractions into proper fractions.
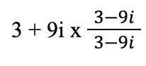
The multiplicative inverse is widely used in complex numbers to solve problems related to complex number concepts. For example, we must multiply and divide the entire complex number expression by changing the sign to the original complex number.
For example, 3 + 9i is a complex number. To solve for this complex number, we need to multiply and divide by the complex number expression after changing its sign. Therefore,
is the multiplicative inverse expression of a complex number.

1. The multiplicative inverse of a fraction is obtained by interchanging its numerator and denominator.
2. The multiplicative of 1 is always 1.
3. The multiplicative inverse of zero does not exist, or we can say, it is undefined.
4. The multiplicative inverse of a number m is given by 1/m or m-1.
JEE Main marks vs rank vs percentile
JEE Advanced Eligibility Criteria
JEE Advanced Chemistry Syllabus
JEE Advanced Registration Dates